mp-3062/Sm4S3N2/anharm

Harmonic properties

../../_images/fig_bandos_pr10826.png

(a) Phonon dispersion with participation ratio and DOS

../../_images/fig_thermo10826.png

(b) Thermodynamic properties

Grüneisen parameters

../../_images/fig_gru_all4422.png

(a) Grüneisen parameters

../../_images/fig_gruneisen4422.png

(b) Phonon dispersion with Grüneisen parameters

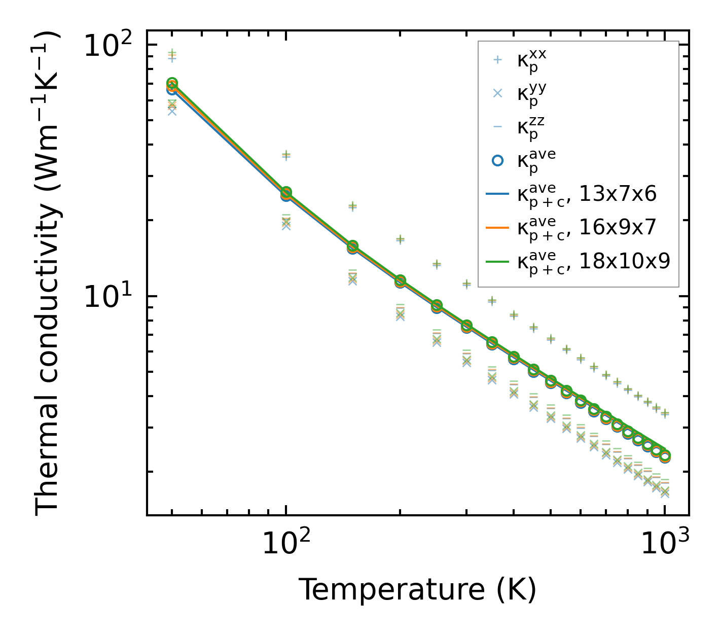
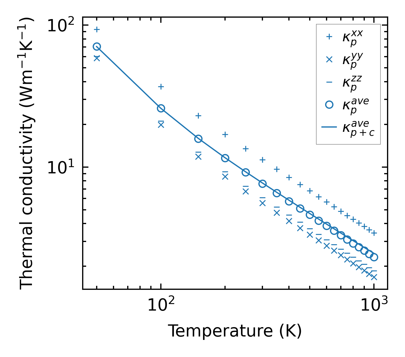
Thermal conductivity

3-phonon (LASSO) — q-mesh: 18x10x9, supercell: 4x2x2

../../_images/fig_kappa8351.png

(a) Temperature-dependent lattice thermal conductivity

../../_images/fig_kappa_vs_grain_size4476.png

(b) Peierls lattice thermal conductivity w.r.t grain size

Phonon lifetime and scattering rates

../../_images/fig_lifetime4379.png

(a) Phonon lifetime due to phonon-phonon scattering

../../_images/fig_scat_rates4378.png

(b) Phonon scattering rates

Cumulative and spectral thermal conductivity

../../_images/fig_cumu_frequency4379.png

(a) Spectral and cumulative thermal conductivity w.r.t frequency

../../_images/fig_cumu_mfp4378.png

(b) Spectral and cumulative thermal conductivity w.r.t MFP

Force constants

../../_images/fig_fc210553.png

(a) Force constants w.r.t atomic distance

Summary

../../_images/fig_kappa8352.png

(a) Temperature-dependent lattice thermal conductivity

../../_images/fig_times18539.png

(b) Computation time