mp-3813-2/Ba2ZrS4/harm

Equation of state

../../_images/fig_bm5281.png

(a) Equation of state

Harmonic properties

../../_images/fig_bandos_pr10648.png

(a) Phonon dispersion with participation ratio and DOS

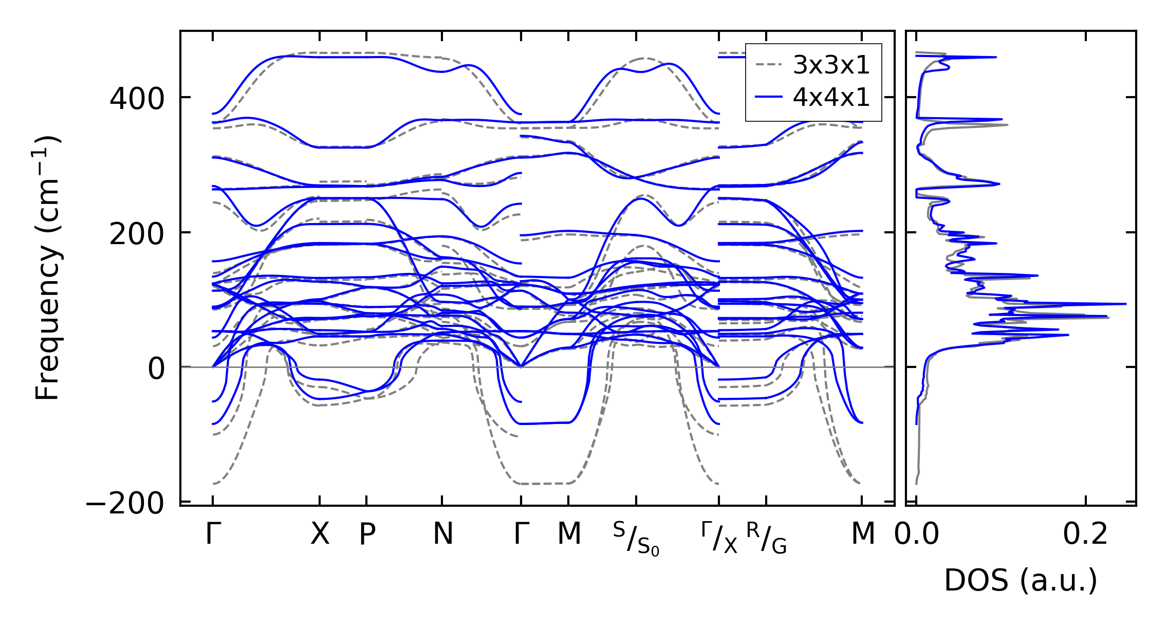
../../_images/fig_bandos14567.png

(b) Phonon dispersion and DOS

../../_images/fig_thermo10648.png

(c) Thermodynamic properties

Force constants

../../_images/fig_fc210381.png

(a) Force constants w.r.t atomic distance

Summary

../../_images/fig_times18283.png

(a) Computation time