mp-3932/Ca3Si2O7/anharm

Harmonic properties

../../_images/fig_bandos_pr10680.png

(a) Phonon dispersion with participation ratio and DOS

../../_images/fig_thermo10680.png

(b) Thermodynamic properties

Grüneisen parameters

../../_images/fig_gru_all4346.png

(a) Grüneisen parameters

../../_images/fig_gruneisen4346.png

(b) Phonon dispersion with Grüneisen parameters

Thermal conductivity

3-phonon (LASSO) — q-mesh: 9x8x7, supercell: 2x1x1

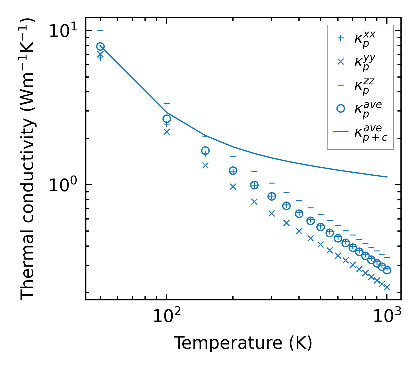
../../_images/fig_kappa8201.png

(a) Temperature-dependent lattice thermal conductivity

../../_images/fig_kappa_vs_grain_size4398.png

(b) Peierls lattice thermal conductivity w.r.t grain size

Phonon lifetime and scattering rates

../../_images/fig_lifetime4303.png

(a) Phonon lifetime due to phonon-phonon scattering

../../_images/fig_scat_rates4302.png

(b) Phonon scattering rates

Cumulative and spectral thermal conductivity

../../_images/fig_cumu_frequency4303.png

(a) Spectral and cumulative thermal conductivity w.r.t frequency

../../_images/fig_cumu_mfp4302.png

(b) Spectral and cumulative thermal conductivity w.r.t MFP

Force constants

../../_images/fig_fc210413.png

(a) Force constants w.r.t atomic distance

Summary

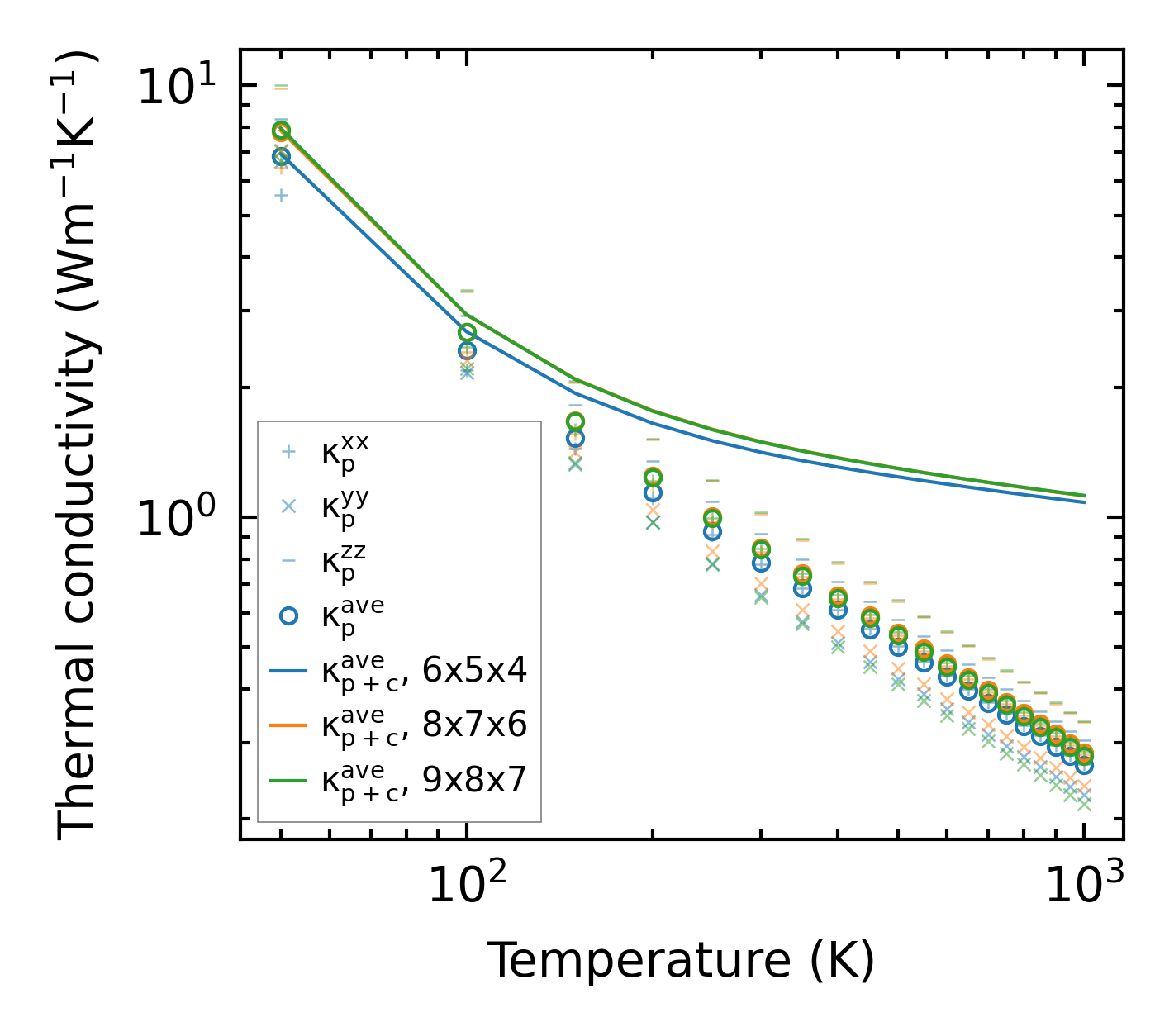
../../_images/fig_kappa8202.png

(a) Temperature-dependent lattice thermal conductivity

../../_images/fig_times18324.png

(b) Computation time