mp-3041/Er2CdS4/anharm

Harmonic properties

../../_images/fig_bandos_pr10817.png

(a) Phonon dispersion with participation ratio and DOS

../../_images/fig_thermo10817.png

(b) Thermodynamic properties

Grüneisen parameters

../../_images/fig_gru_all4413.png

(a) Grüneisen parameters

../../_images/fig_gruneisen4413.png

(b) Phonon dispersion with Grüneisen parameters

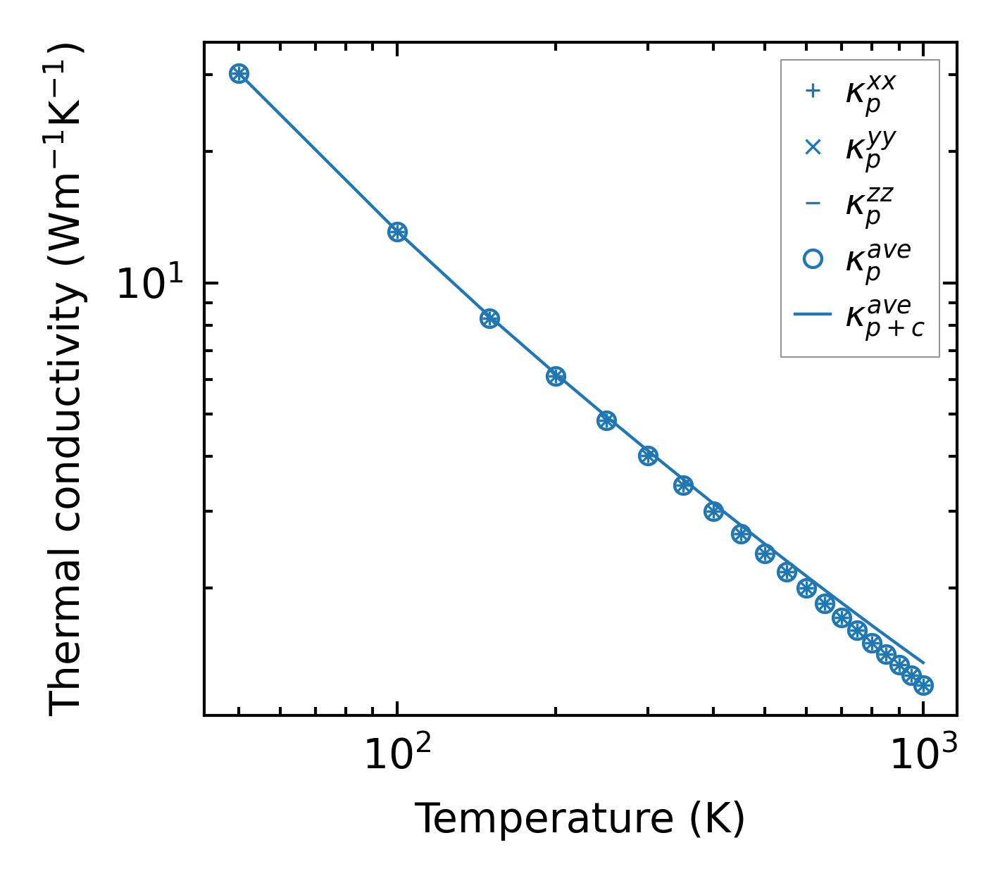
Thermal conductivity

3-phonon — q-mesh: 10x10x10, supercell: 1x1x1

../../_images/fig_kappa8332.png

(a) Temperature-dependent lattice thermal conductivity

../../_images/fig_kappa_vs_grain_size4466.png

(b) Peierls lattice thermal conductivity w.r.t grain size

Phonon lifetime and scattering rates

../../_images/fig_lifetime4370.png

(a) Phonon lifetime due to phonon-phonon scattering

../../_images/fig_scat_rates4369.png

(b) Phonon scattering rates

Cumulative and spectral thermal conductivity

../../_images/fig_cumu_frequency4370.png

(a) Spectral and cumulative thermal conductivity w.r.t frequency

../../_images/fig_cumu_mfp4369.png

(b) Spectral and cumulative thermal conductivity w.r.t MFP

Force constants

../../_images/fig_fc3272.png

(a) Force constants w.r.t atomic distance

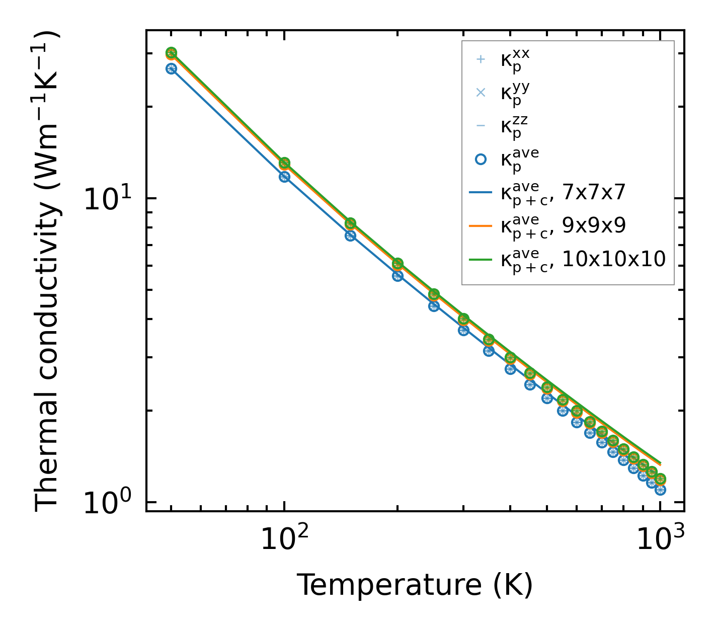
Summary

../../_images/fig_kappa8333.png

(a) Temperature-dependent lattice thermal conductivity

../../_images/fig_times18530.png

(b) Computation time