mp-3792/YAlO3/anharm

Harmonic properties

../../_images/fig_bandos_pr10639.png

(a) Phonon dispersion with participation ratio and DOS

../../_images/fig_thermo10639.png

(b) Thermodynamic properties

Grüneisen parameters

../../_images/fig_gru_all4321.png

(a) Grüneisen parameters

../../_images/fig_gruneisen4321.png

(b) Phonon dispersion with Grüneisen parameters

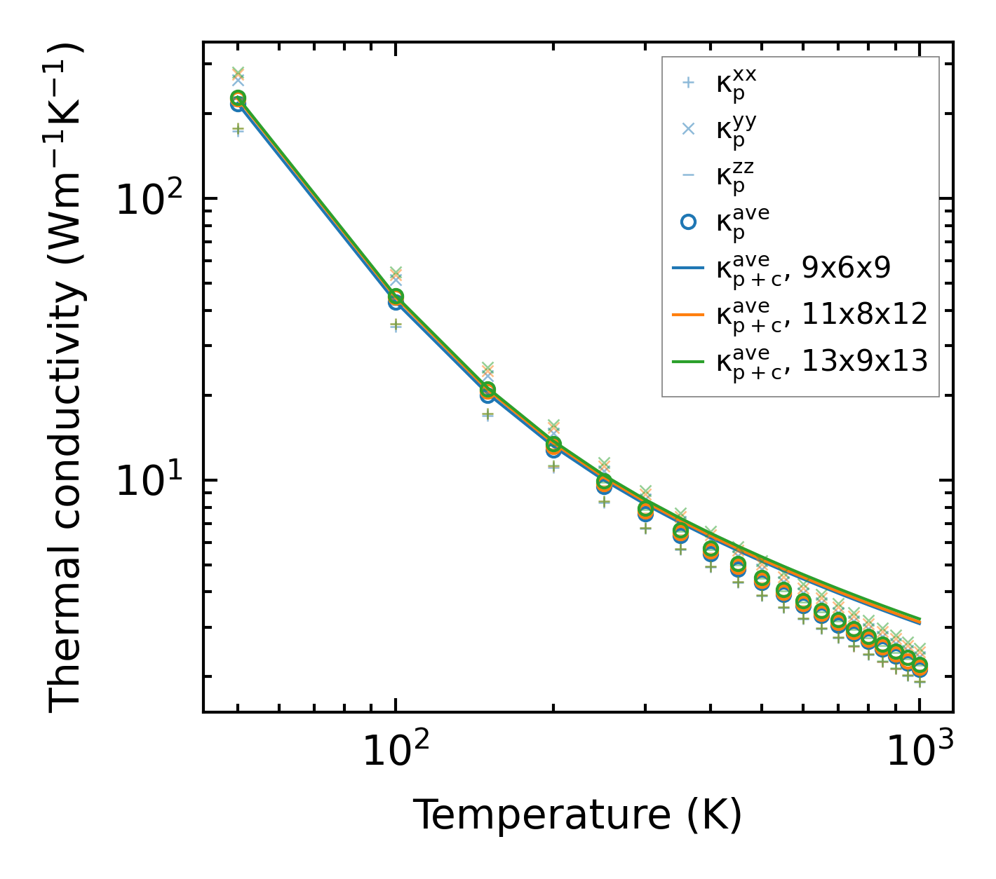
Thermal conductivity

3-phonon (LASSO) — q-mesh: 13x9x13, supercell: 2x1x2

../../_images/fig_kappa8150.png

(a) Temperature-dependent lattice thermal conductivity

../../_images/fig_kappa_vs_grain_size4372.png

(b) Peierls lattice thermal conductivity w.r.t grain size

Phonon lifetime and scattering rates

../../_images/fig_lifetime4278.png

(a) Phonon lifetime due to phonon-phonon scattering

../../_images/fig_scat_rates4277.png

(b) Phonon scattering rates

Cumulative and spectral thermal conductivity

../../_images/fig_cumu_frequency4278.png

(a) Spectral and cumulative thermal conductivity w.r.t frequency

../../_images/fig_cumu_mfp4277.png

(b) Spectral and cumulative thermal conductivity w.r.t MFP

Force constants

../../_images/fig_fc210373.png

(a) Force constants w.r.t atomic distance

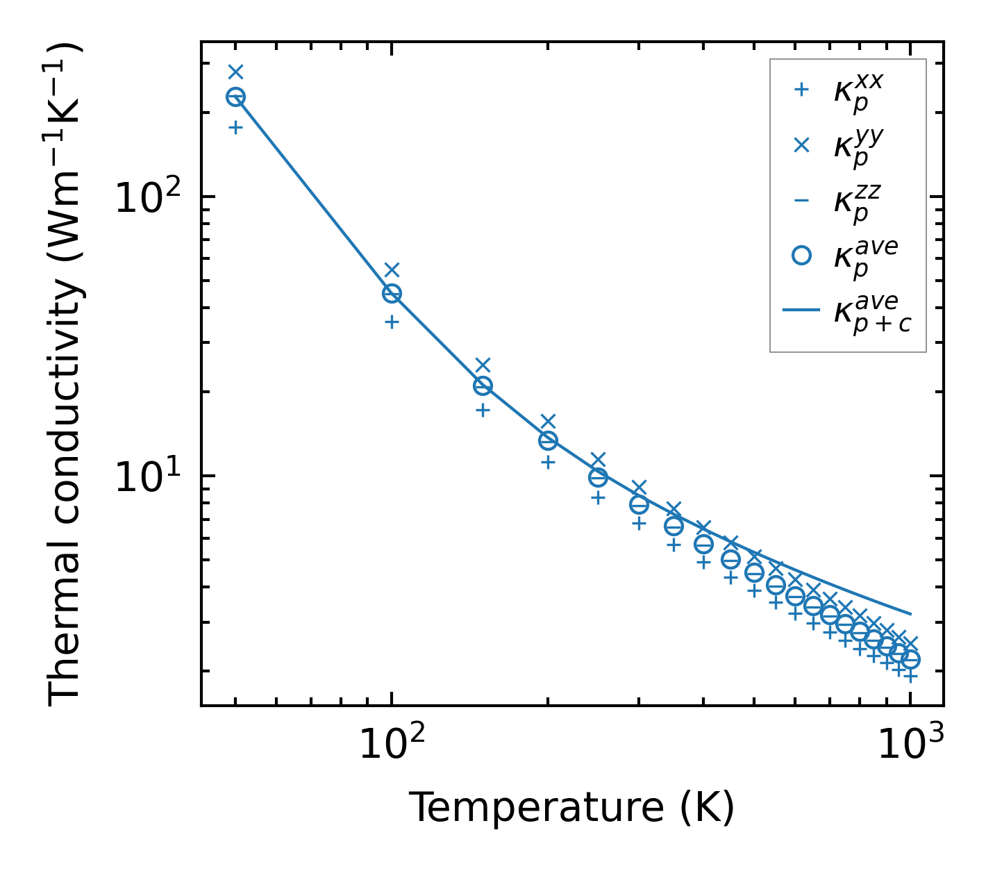
Summary

../../_images/fig_kappa8151.png

(a) Temperature-dependent lattice thermal conductivity

../../_images/fig_times18274.png

(b) Computation time