mp-3047/MgGeO3/anharm

Equation of state

../../_images/fig_bm5314.png

(a) Equation of state

Harmonic properties

../../_images/fig_bandos_pr10819.png

(a) Phonon dispersion with participation ratio and DOS

../../_images/fig_bandos14735.png

(b) Phonon dispersion and DOS

../../_images/fig_thermo10819.png

(c) Thermodynamic properties

Grüneisen parameters

../../_images/fig_gru_all4415.png

(a) Grüneisen parameters

../../_images/fig_gruneisen4415.png

(b) Phonon dispersion with Grüneisen parameters

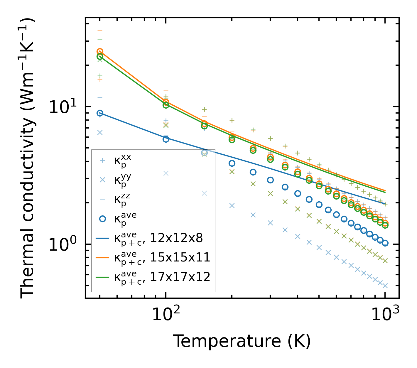
Thermal conductivity

3-phonon (LASSO) — q-mesh: 17x17x12, supercell: 3x1x2

../../_images/fig_kappa8336.png

(a) Temperature-dependent lattice thermal conductivity

../../_images/fig_kappa_vs_grain_size4468.png

(b) Peierls lattice thermal conductivity w.r.t grain size

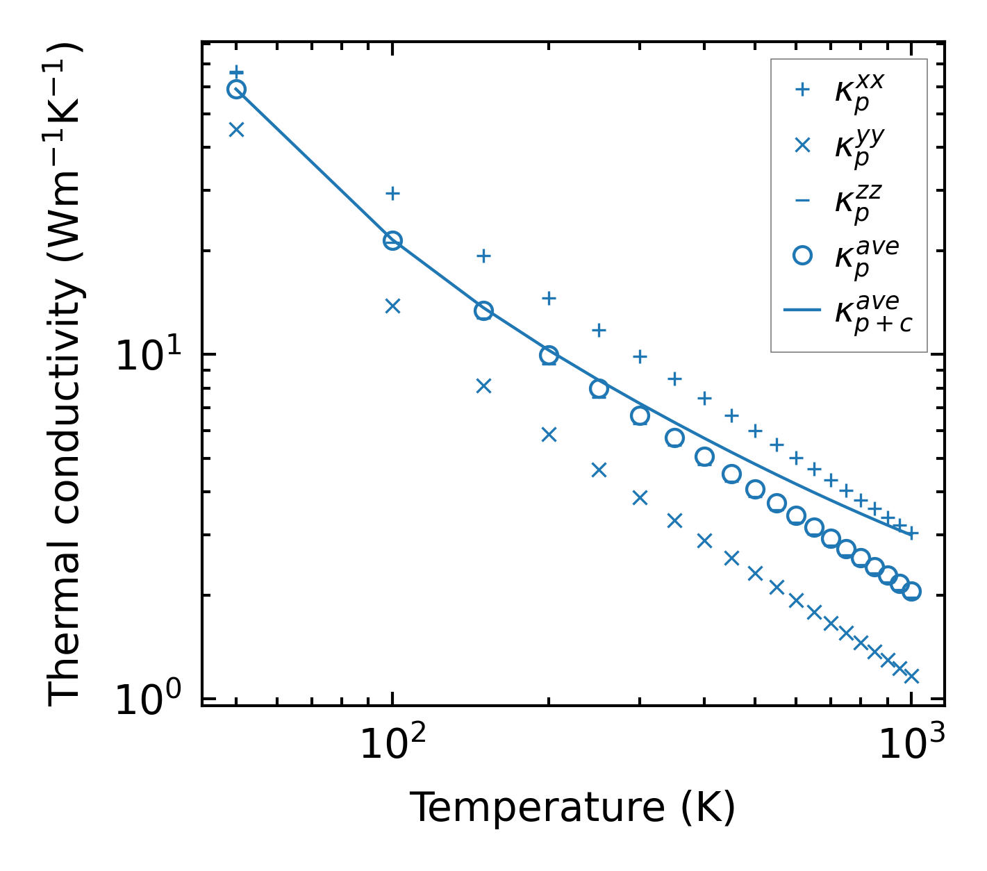
3-phonon (LASSO), supercell 4x1x2 — q-mesh: 17x17x12, supercell: 4x1x2

../../_images/fig_kappa8337.png

(a) Temperature-dependent lattice thermal conductivity

../../_images/fig_kappa_vs_grain_size4469.png

(b) Peierls lattice thermal conductivity w.r.t grain size

Phonon lifetime and scattering rates

../../_images/fig_lifetime4372.png

(a) Phonon lifetime due to phonon-phonon scattering

../../_images/fig_scat_rates4371.png

(b) Phonon scattering rates

Cumulative and spectral thermal conductivity

../../_images/fig_cumu_frequency4372.png

(a) Spectral and cumulative thermal conductivity w.r.t frequency

../../_images/fig_cumu_mfp4371.png

(b) Spectral and cumulative thermal conductivity w.r.t MFP

Force constants

../../_images/fig_fc210546.png

(a) Force constants w.r.t atomic distance

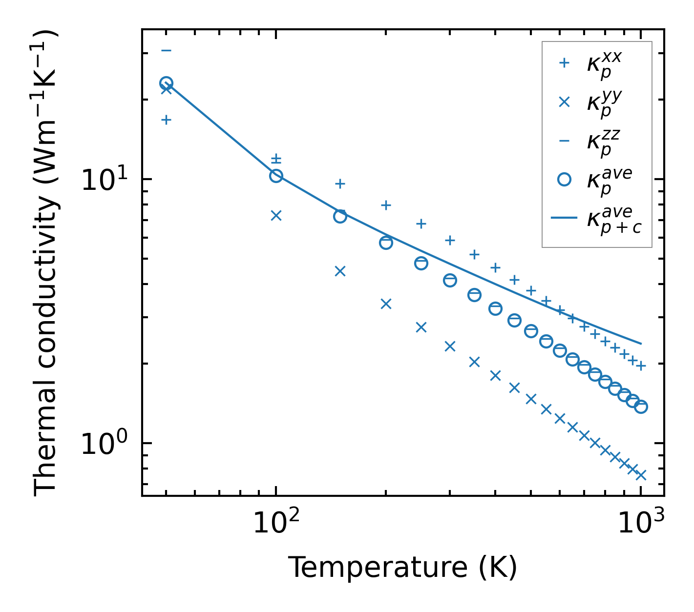
Summary

../../_images/fig_kappa8338.png

(a) Temperature-dependent lattice thermal conductivity

../../_images/fig_times18532.png

(b) Computation time