mp-3107/Ga3PO7/harm

Harmonic properties

../../_images/fig_bandos_pr10841.png

(a) Phonon dispersion with participation ratio and DOS

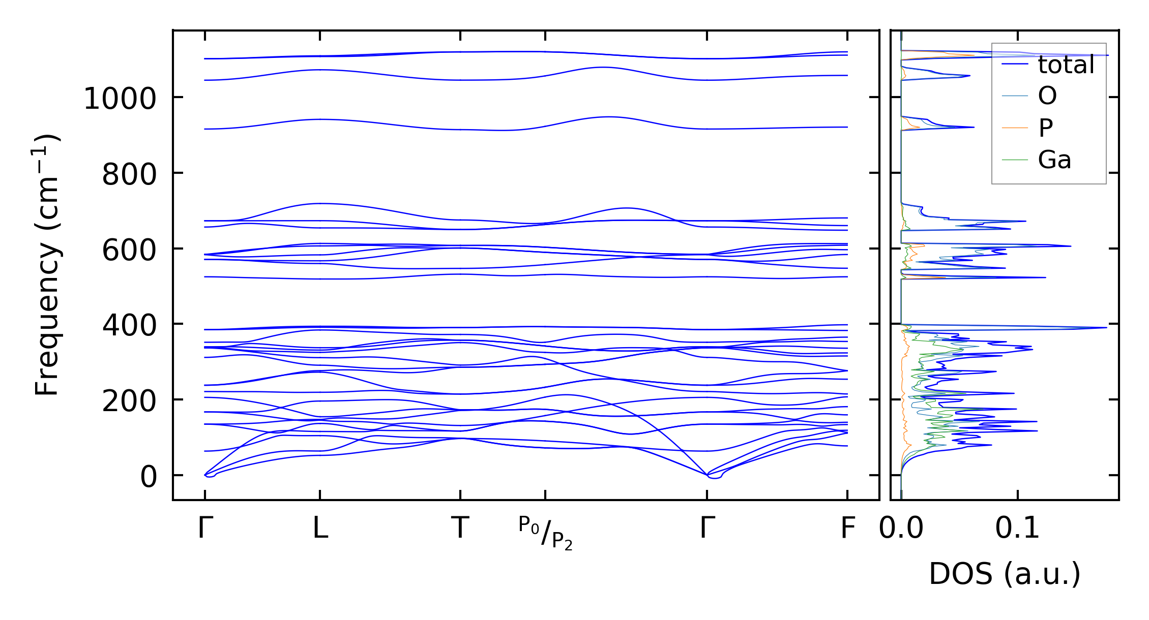
../../_images/fig_bandos14751.png

(b) Phonon dispersion and DOS

../../_images/fig_thermo10841.png

(c) Thermodynamic properties

Force constants

../../_images/fig_fc210568.png

(a) Force constants w.r.t atomic distance

Summary

../../_images/fig_times18557.png

(a) Computation time