mp-3595/ZnSiAs2/anharm

Equation of state

../../_images/fig_bm5387.png

(a) Equation of state

Harmonic properties

../../_images/fig_bandos_pr10958.png

(a) Phonon dispersion with participation ratio and DOS

../../_images/fig_bandos14865.png

(b) Phonon dispersion and DOS

../../_images/fig_thermo10958.png

(c) Thermodynamic properties

Grüneisen parameters

../../_images/fig_gru_all4488.png

(a) Grüneisen parameters

../../_images/fig_gruneisen4488.png

(b) Phonon dispersion with Grüneisen parameters

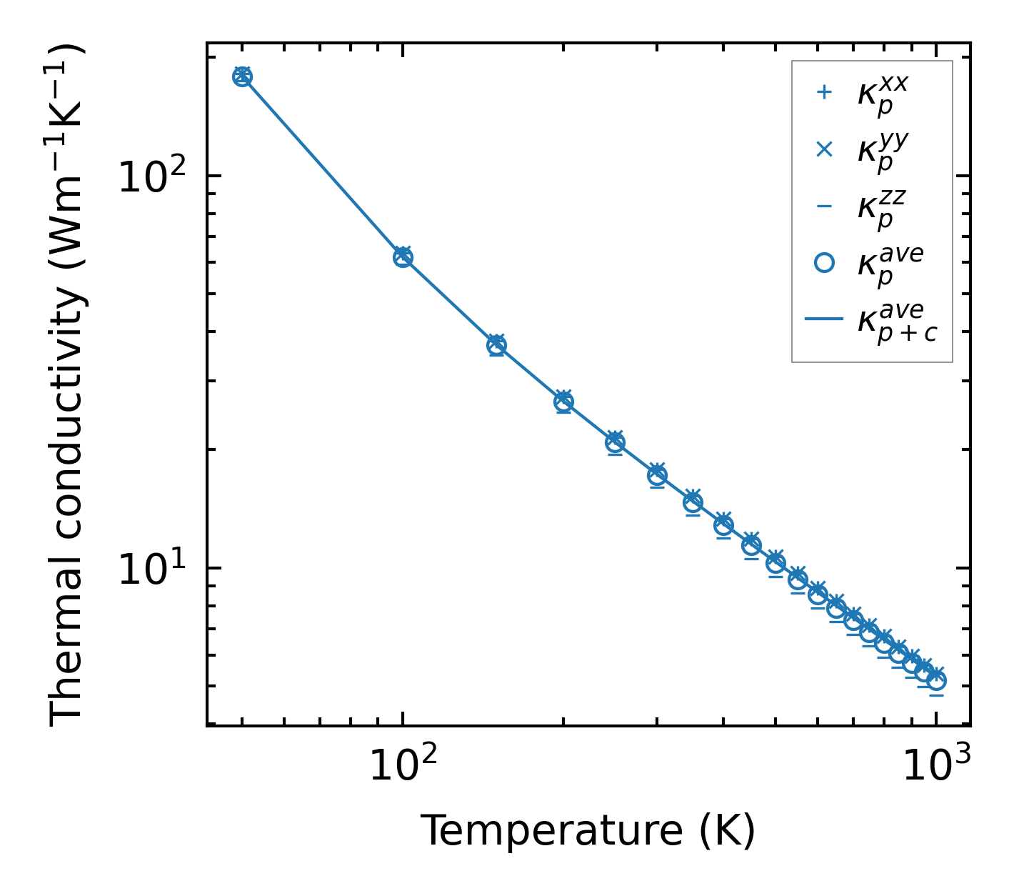
Thermal conductivity

3-phonon (LASSO), supercell 3x3x2 — q-mesh: 12x12x12, supercell: 3x3x2

../../_images/fig_kappa8475.png

(a) Temperature-dependent lattice thermal conductivity

../../_images/fig_kappa_vs_grain_size4542.png

(b) Peierls lattice thermal conductivity w.r.t grain size

Phonon lifetime and scattering rates

../../_images/fig_lifetime4444.png

(a) Phonon lifetime due to phonon-phonon scattering

../../_images/fig_scat_rates4443.png

(b) Phonon scattering rates

Cumulative and spectral thermal conductivity

../../_images/fig_cumu_frequency4444.png

(a) Spectral and cumulative thermal conductivity w.r.t frequency

../../_images/fig_cumu_mfp4443.png

(b) Spectral and cumulative thermal conductivity w.r.t MFP

Force constants

../../_images/fig_fc210683.png

(a) Force constants w.r.t atomic distance

Summary

../../_images/fig_times18725.png

(a) Computation time