mp-3032-2/RbBF4/anharm

Equation of state

../../_images/fig_bm5449.png

(a) Equation of state

Harmonic properties

../../_images/fig_bandos_pr11146.png

(a) Phonon dispersion with participation ratio and DOS

../../_images/fig_thermo11146.png

(b) Thermodynamic properties

Grüneisen parameters

../../_images/fig_gru_all4592.png

(a) Grüneisen parameters

../../_images/fig_gruneisen4592.png

(b) Phonon dispersion with Grüneisen parameters

Thermal conductivity

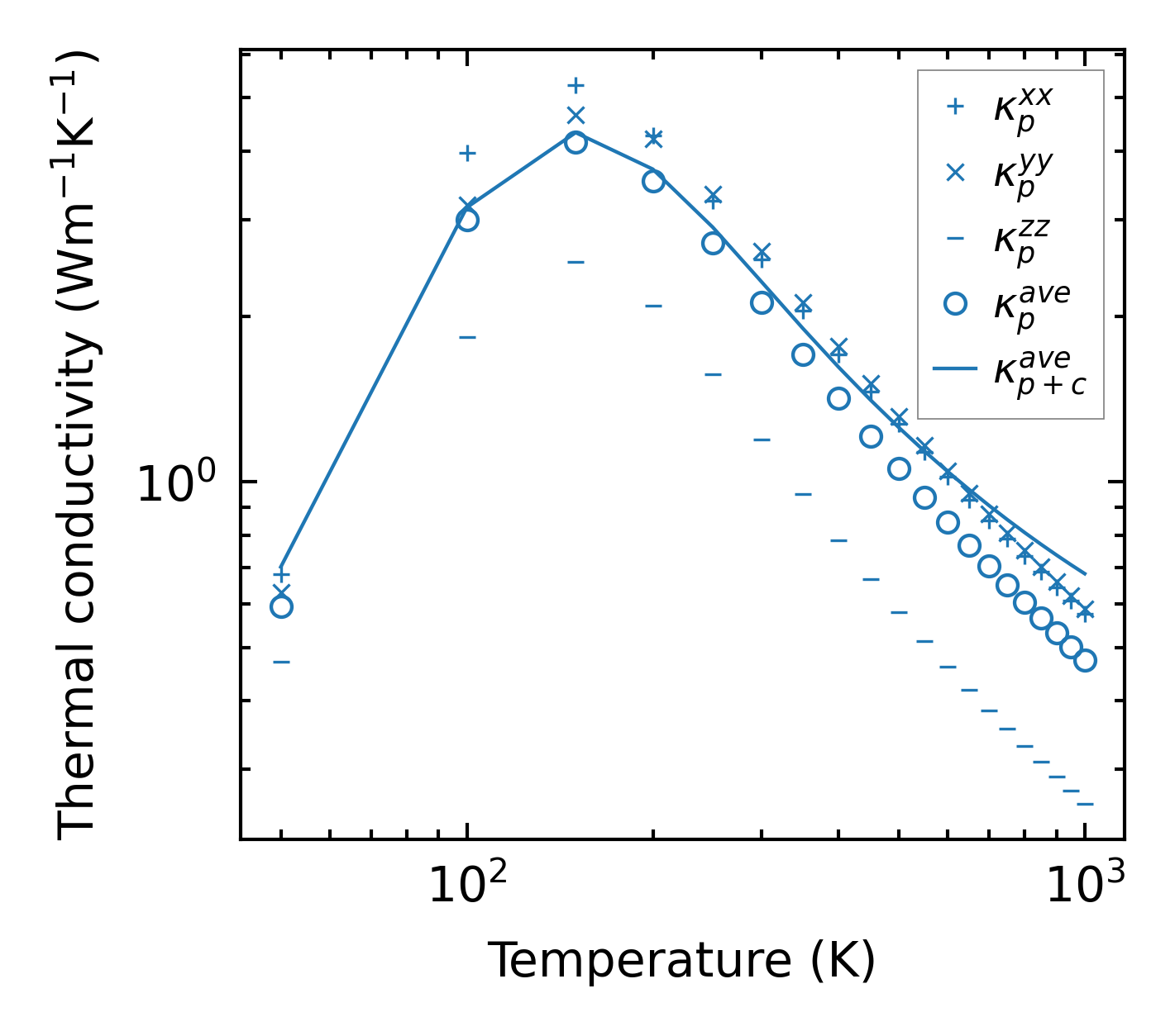
3-phonon (LASSO) — q-mesh: 7x12x9, supercell: 1x2x2

../../_images/fig_kappa8668.png

(a) Temperature-dependent lattice thermal conductivity

../../_images/fig_kappa_vs_grain_size4648.png

(b) Peierls lattice thermal conductivity w.r.t grain size

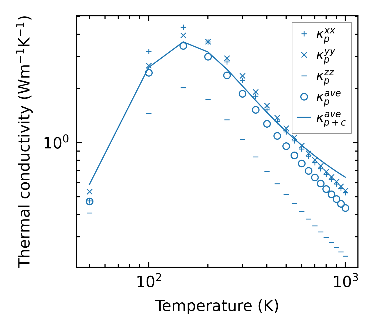
3-phonon (LASSO), supercell 2x2x2 — q-mesh: 7x12x9, supercell: 2x2x2

../../_images/fig_kappa8669.png

(a) Temperature-dependent lattice thermal conductivity

../../_images/fig_kappa_vs_grain_size4649.png

(b) Peierls lattice thermal conductivity w.r.t grain size

Phonon lifetime and scattering rates

../../_images/fig_lifetime4548.png

(a) Phonon lifetime due to phonon-phonon scattering

../../_images/fig_scat_rates4547.png

(b) Phonon scattering rates

Cumulative and spectral thermal conductivity

../../_images/fig_cumu_frequency4548.png

(a) Spectral and cumulative thermal conductivity w.r.t frequency

../../_images/fig_cumu_mfp4547.png

(b) Spectral and cumulative thermal conductivity w.r.t MFP

Force constants

../../_images/fig_fc210863.png

(a) Force constants w.r.t atomic distance

Summary

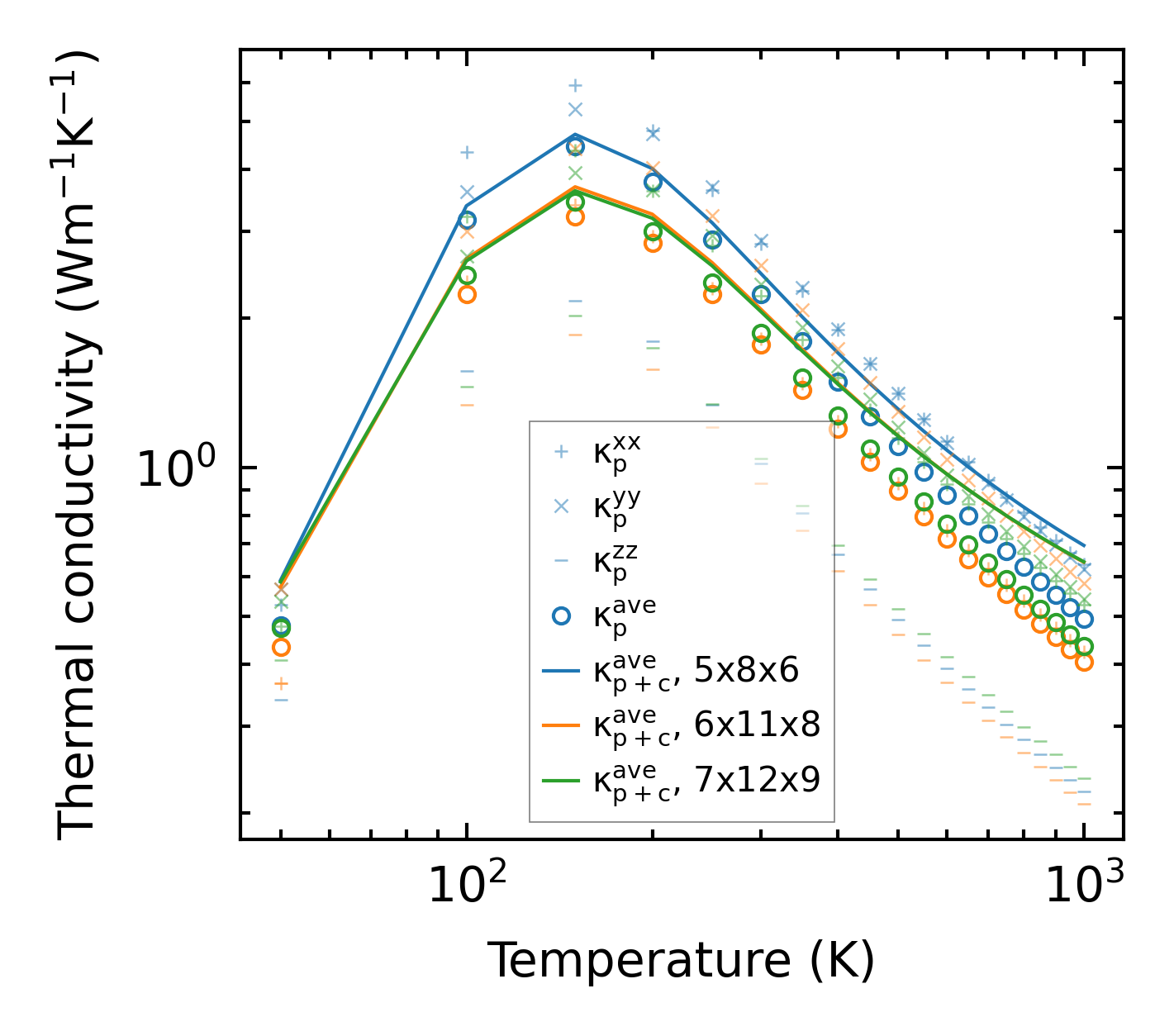
../../_images/fig_kappa8670.png

(a) Temperature-dependent lattice thermal conductivity

../../_images/fig_times19057.png

(b) Computation time