mp-3731-2/LiNbO3/harm

Equation of state

../../_images/fig_bm5408.png

(a) Equation of state

Harmonic properties

../../_images/fig_bandos_pr10992.png

(a) Phonon dispersion with participation ratio and DOS

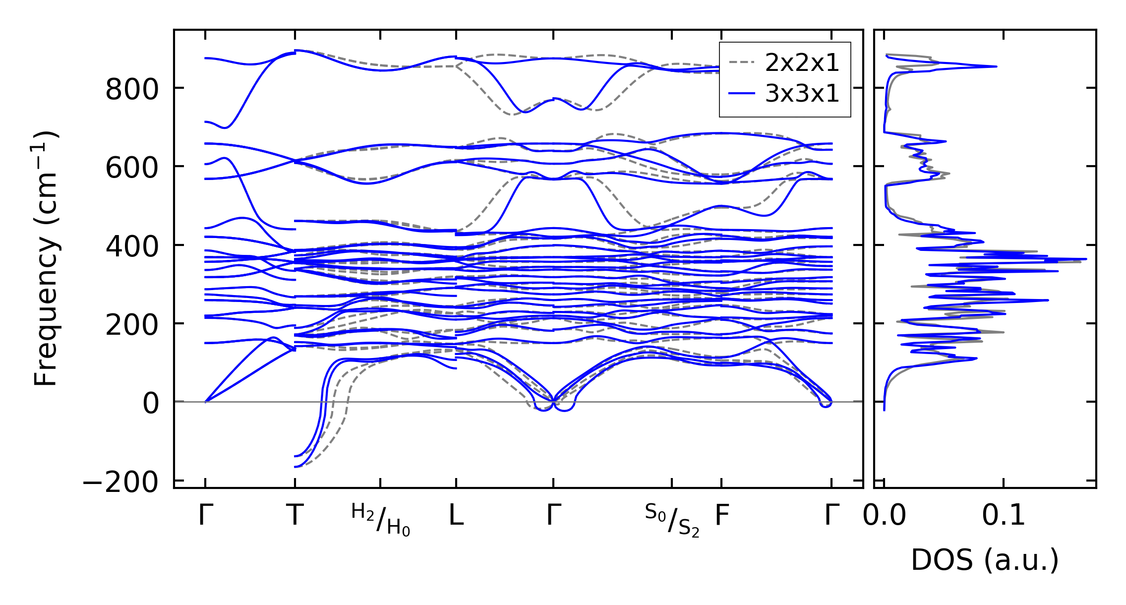
../../_images/fig_bandos14903.png

(b) Phonon dispersion and DOS

../../_images/fig_thermo10992.png

(c) Thermodynamic properties

Force constants

../../_images/fig_fc210716.png

(a) Force constants w.r.t atomic distance

Summary

../../_images/fig_times18776.png

(a) Computation time