mp-3167-2/Hg2GeSe4/anharm

Equation of state

../../_images/fig_bm5331.png

(a) Equation of state

Harmonic properties

../../_images/fig_bandos_pr10856.png

(a) Phonon dispersion with participation ratio and DOS

../../_images/fig_thermo10856.png

(b) Thermodynamic properties

Grüneisen parameters

../../_images/fig_gru_all4434.png

(a) Grüneisen parameters

../../_images/fig_gruneisen4434.png

(b) Phonon dispersion with Grüneisen parameters

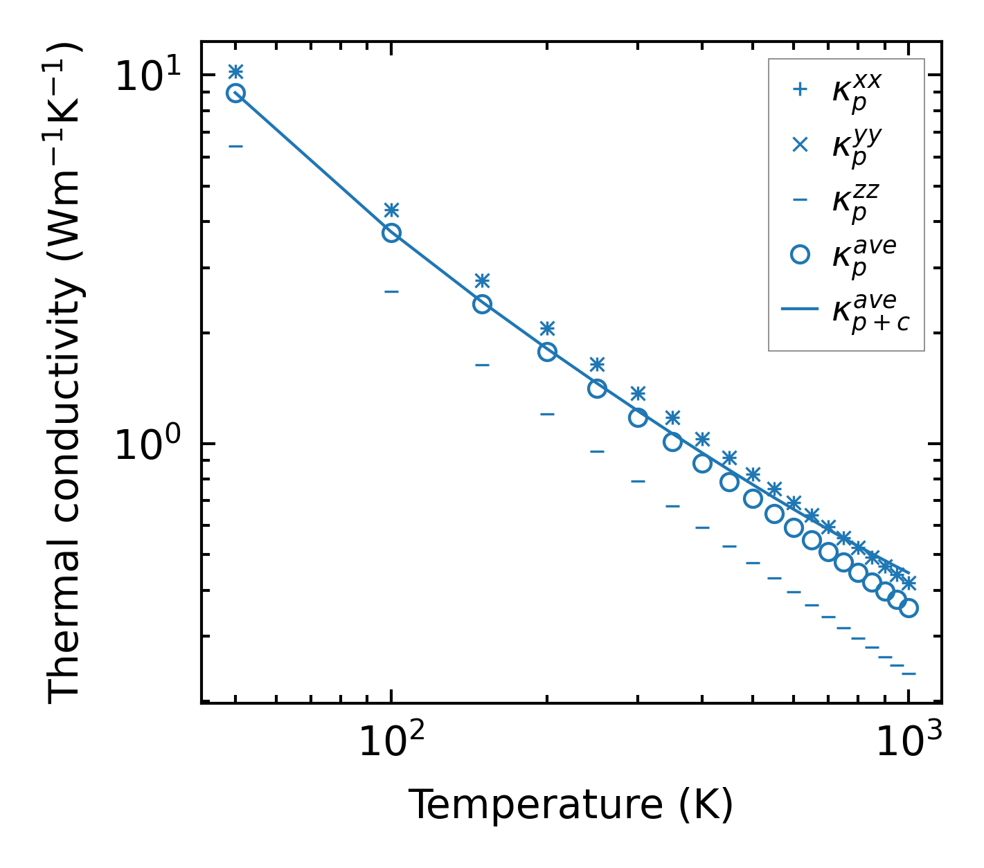
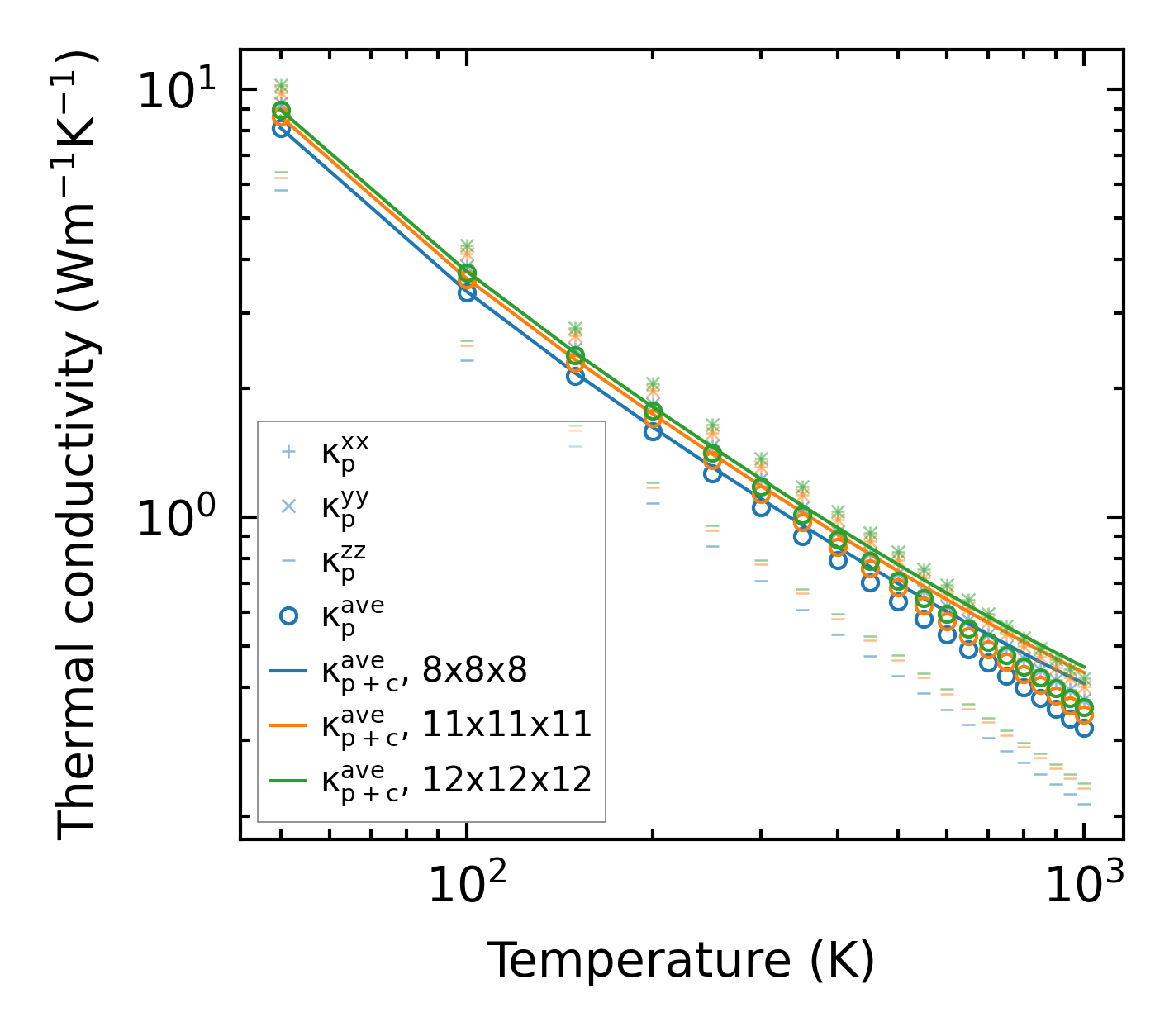
Thermal conductivity

3-phonon (LASSO) — q-mesh: 12x12x12, supercell: 3x3x1

../../_images/fig_kappa8375.png

(a) Temperature-dependent lattice thermal conductivity

../../_images/fig_kappa_vs_grain_size4489.png

(b) Peierls lattice thermal conductivity w.r.t grain size

Phonon lifetime and scattering rates

../../_images/fig_lifetime4391.png

(a) Phonon lifetime due to phonon-phonon scattering

../../_images/fig_scat_rates4390.png

(b) Phonon scattering rates

Cumulative and spectral thermal conductivity

../../_images/fig_cumu_frequency4391.png

(a) Spectral and cumulative thermal conductivity w.r.t frequency

../../_images/fig_cumu_mfp4390.png

(b) Spectral and cumulative thermal conductivity w.r.t MFP

Force constants

../../_images/fig_fc210582.png

(a) Force constants w.r.t atomic distance

Summary

../../_images/fig_kappa8376.png

(a) Temperature-dependent lattice thermal conductivity

../../_images/fig_times18577.png

(b) Computation time