mp-3297/Li10Zn4O9/anharm

Harmonic properties

../../_images/fig_bandos_pr10879.png

(a) Phonon dispersion with participation ratio and DOS

../../_images/fig_thermo10879.png

(b) Thermodynamic properties

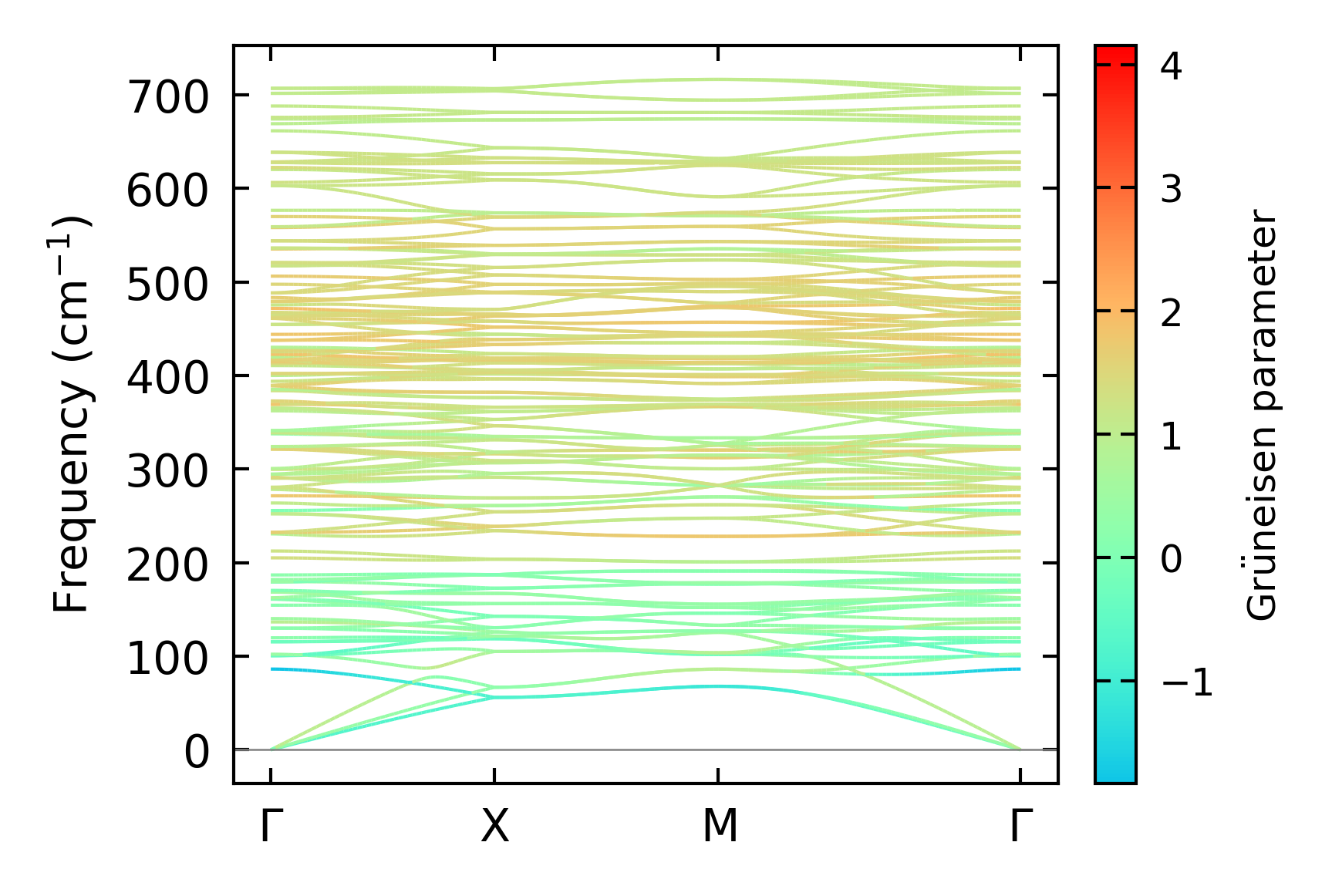
Grüneisen parameters

../../_images/fig_gru_all4446.png

(a) Grüneisen parameters

../../_images/fig_gruneisen4446.png

(b) Phonon dispersion with Grüneisen parameters

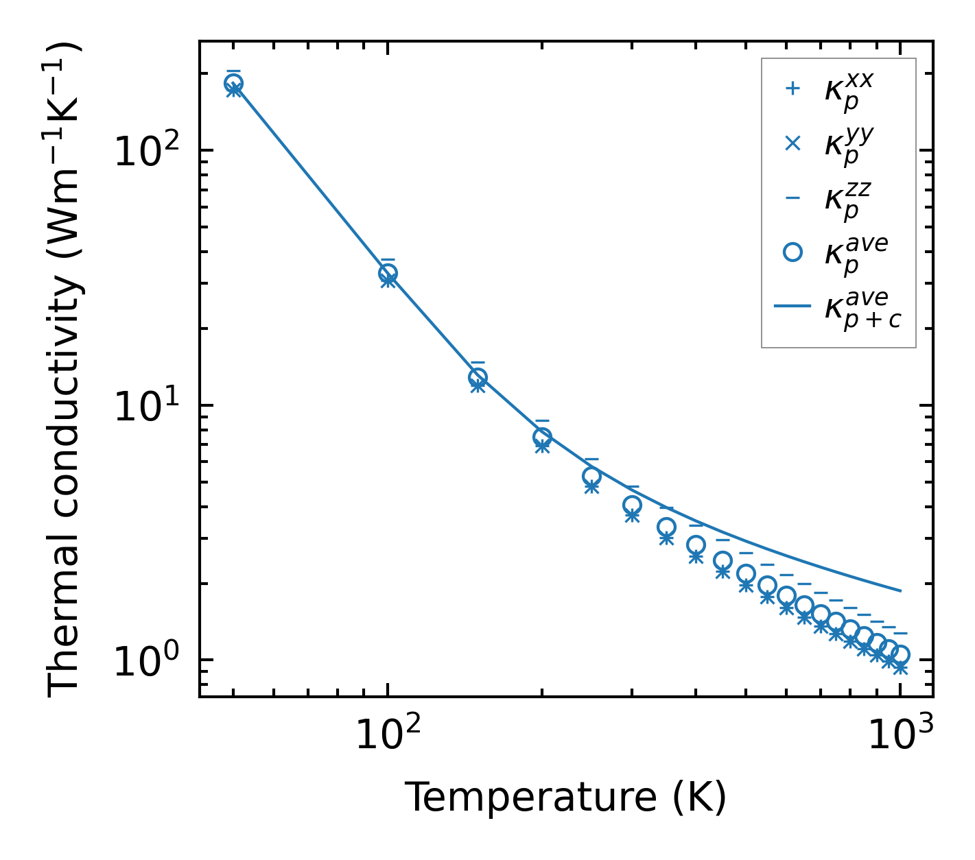
Thermal conductivity

3-phonon (LASSO) — q-mesh: 7x7x15, supercell: 1x1x3

../../_images/fig_kappa8398.png

(a) Temperature-dependent lattice thermal conductivity

../../_images/fig_kappa_vs_grain_size4501.png

(b) Peierls lattice thermal conductivity w.r.t grain size

Phonon lifetime and scattering rates

../../_images/fig_lifetime4403.png

(a) Phonon lifetime due to phonon-phonon scattering

../../_images/fig_scat_rates4402.png

(b) Phonon scattering rates

Cumulative and spectral thermal conductivity

../../_images/fig_cumu_frequency4403.png

(a) Spectral and cumulative thermal conductivity w.r.t frequency

../../_images/fig_cumu_mfp4402.png

(b) Spectral and cumulative thermal conductivity w.r.t MFP

Force constants

../../_images/fig_fc210605.png

(a) Force constants w.r.t atomic distance

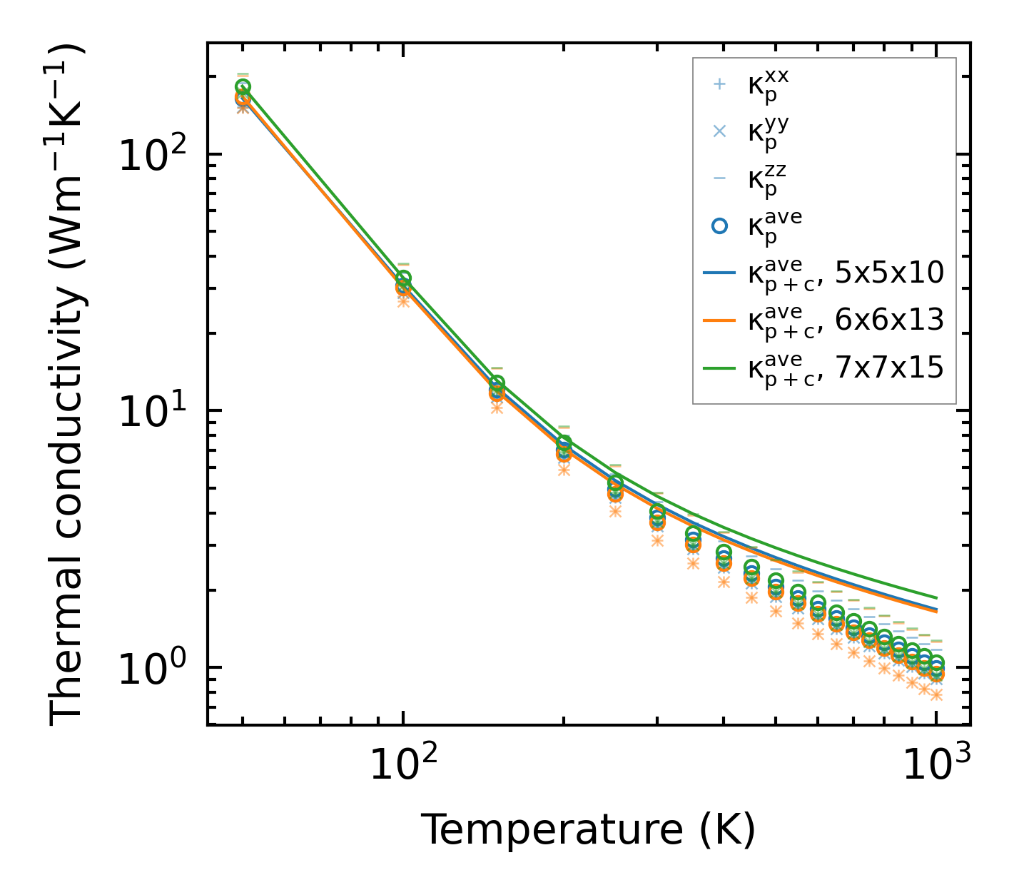
Summary

../../_images/fig_kappa8399.png

(a) Temperature-dependent lattice thermal conductivity

../../_images/fig_times18612.png

(b) Computation time