mp-3277-2/BAsO4/harm

Equation of state

../../_images/fig_bm5341.png

(a) Equation of state

Harmonic properties

../../_images/fig_bandos_pr10873.png

(a) Phonon dispersion with participation ratio and DOS

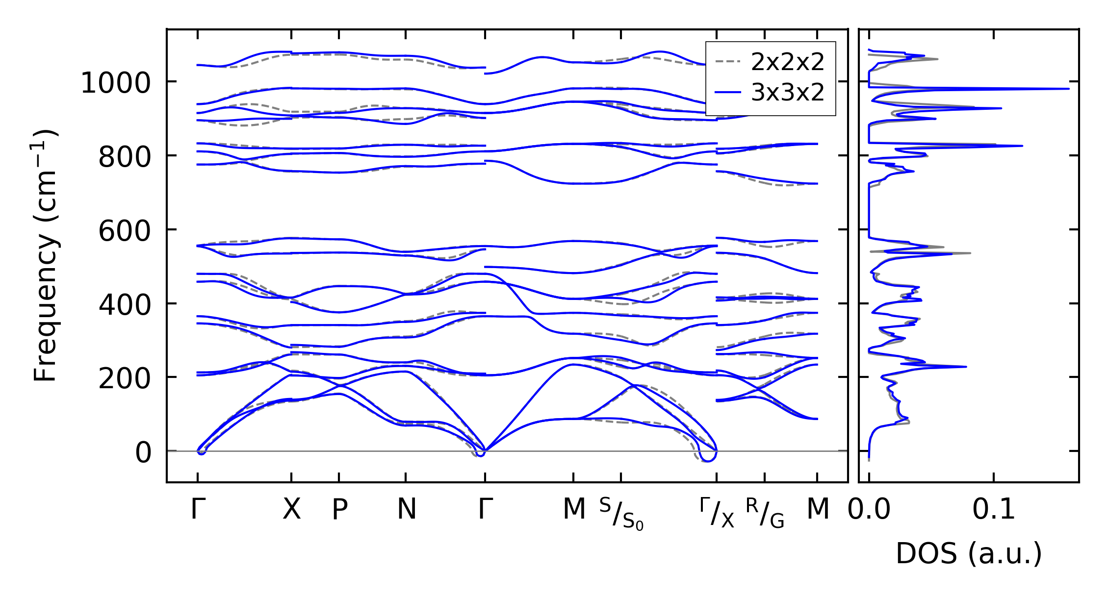
../../_images/fig_bandos14781.png

(b) Phonon dispersion and DOS

../../_images/fig_thermo10873.png

(c) Thermodynamic properties

Force constants

../../_images/fig_fc210599.png

(a) Force constants w.r.t atomic distance

Summary

../../_images/fig_times18605.png

(a) Computation time