mp-3319/MgRh2O4/anharm

Harmonic properties

../../_images/fig_bandos_pr10885.png

(a) Phonon dispersion with participation ratio and DOS

../../_images/fig_thermo10885.png

(b) Thermodynamic properties

Grüneisen parameters

../../_images/fig_gru_all4449.png

(a) Grüneisen parameters

../../_images/fig_gruneisen4449.png

(b) Phonon dispersion with Grüneisen parameters

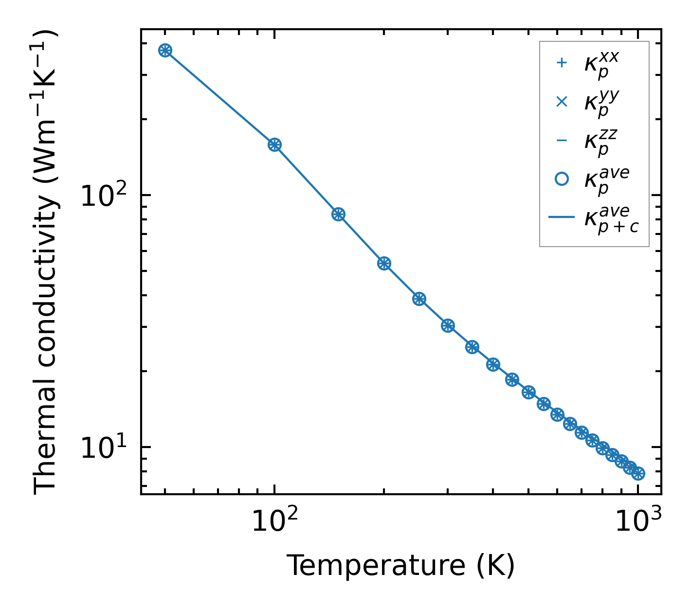
Thermal conductivity

3-phonon (LASSO) — q-mesh: 13x13x13, supercell: 1x1x1

../../_images/fig_kappa8404.png

(a) Temperature-dependent lattice thermal conductivity

../../_images/fig_kappa_vs_grain_size4504.png

(b) Peierls lattice thermal conductivity w.r.t grain size

Phonon lifetime and scattering rates

../../_images/fig_lifetime4406.png

(a) Phonon lifetime due to phonon-phonon scattering

../../_images/fig_scat_rates4405.png

(b) Phonon scattering rates

Cumulative and spectral thermal conductivity

../../_images/fig_cumu_frequency4406.png

(a) Spectral and cumulative thermal conductivity w.r.t frequency

../../_images/fig_cumu_mfp4405.png

(b) Spectral and cumulative thermal conductivity w.r.t MFP

Force constants

../../_images/fig_fc210611.png

(a) Force constants w.r.t atomic distance

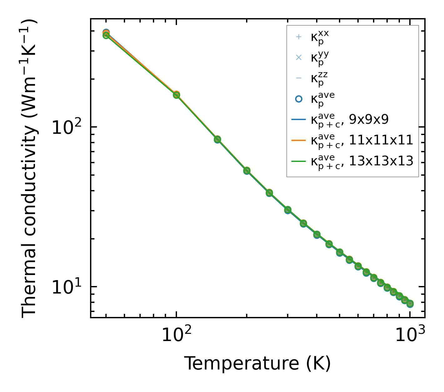
Summary

../../_images/fig_kappa8405.png

(a) Temperature-dependent lattice thermal conductivity

../../_images/fig_times18622.png

(b) Computation time