mp-560993/CaAl12Si4O27/anharm

Harmonic properties

../../_images/fig_bandos_pr7615.png

(a) Phonon dispersion with participation ratio and DOS

../../_images/fig_thermo7615.png

(b) Thermodynamic properties

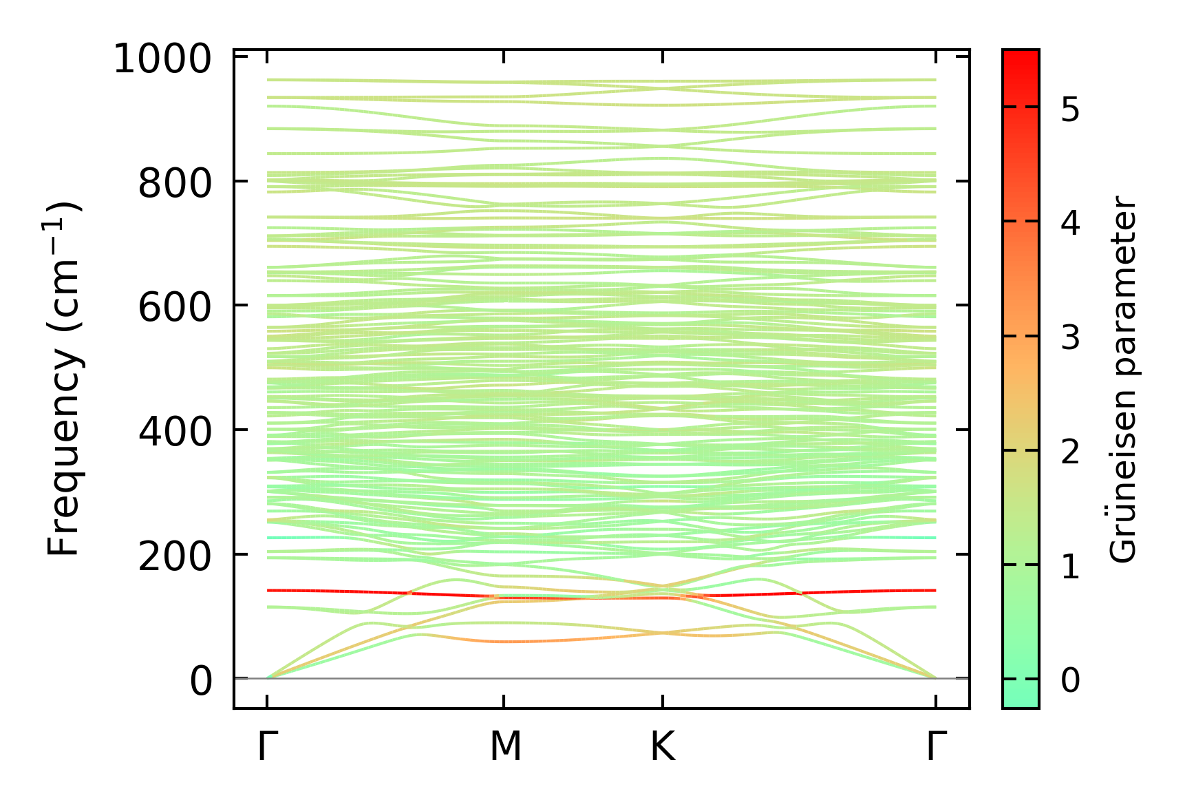
Grüneisen parameters

../../_images/fig_gru_all3192.png

(a) Grüneisen parameters

../../_images/fig_gruneisen3192.png

(b) Phonon dispersion with Grüneisen parameters

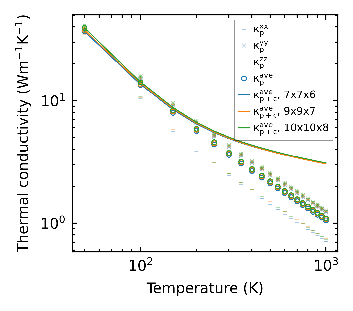
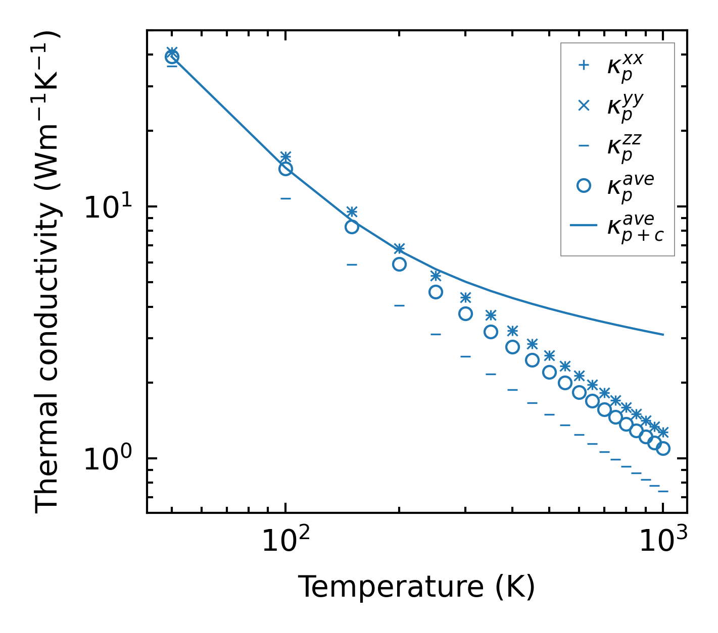
Thermal conductivity

3-phonon (LASSO) — q-mesh: 10x10x8, supercell: 1x1x1

../../_images/fig_kappa6043.png

(a) Temperature-dependent lattice thermal conductivity

../../_images/fig_kappa_vs_grain_size3233.png

(b) Peierls lattice thermal conductivity w.r.t grain size

Phonon lifetime and scattering rates

../../_images/fig_lifetime3164.png

(a) Phonon lifetime due to phonon-phonon scattering

../../_images/fig_scat_rates3163.png

(b) Phonon scattering rates

Cumulative and spectral thermal conductivity

../../_images/fig_cumu_frequency3164.png

(a) Spectral and cumulative thermal conductivity w.r.t frequency

../../_images/fig_cumu_mfp3163.png

(b) Spectral and cumulative thermal conductivity w.r.t MFP

Force constants

../../_images/fig_fc27378.png

(a) Force constants w.r.t atomic distance

Summary

../../_images/fig_kappa6044.png

(a) Temperature-dependent lattice thermal conductivity

../../_images/fig_times13466.png

(b) Computation time