mp-560853/Tb3Si2S8I/anharm

Harmonic properties

../../_images/fig_bandos_pr7589.png

(a) Phonon dispersion with participation ratio and DOS

../../_images/fig_thermo7589.png

(b) Thermodynamic properties

Grüneisen parameters

../../_images/fig_gru_all3182.png

(a) Grüneisen parameters

../../_images/fig_gruneisen3182.png

(b) Phonon dispersion with Grüneisen parameters

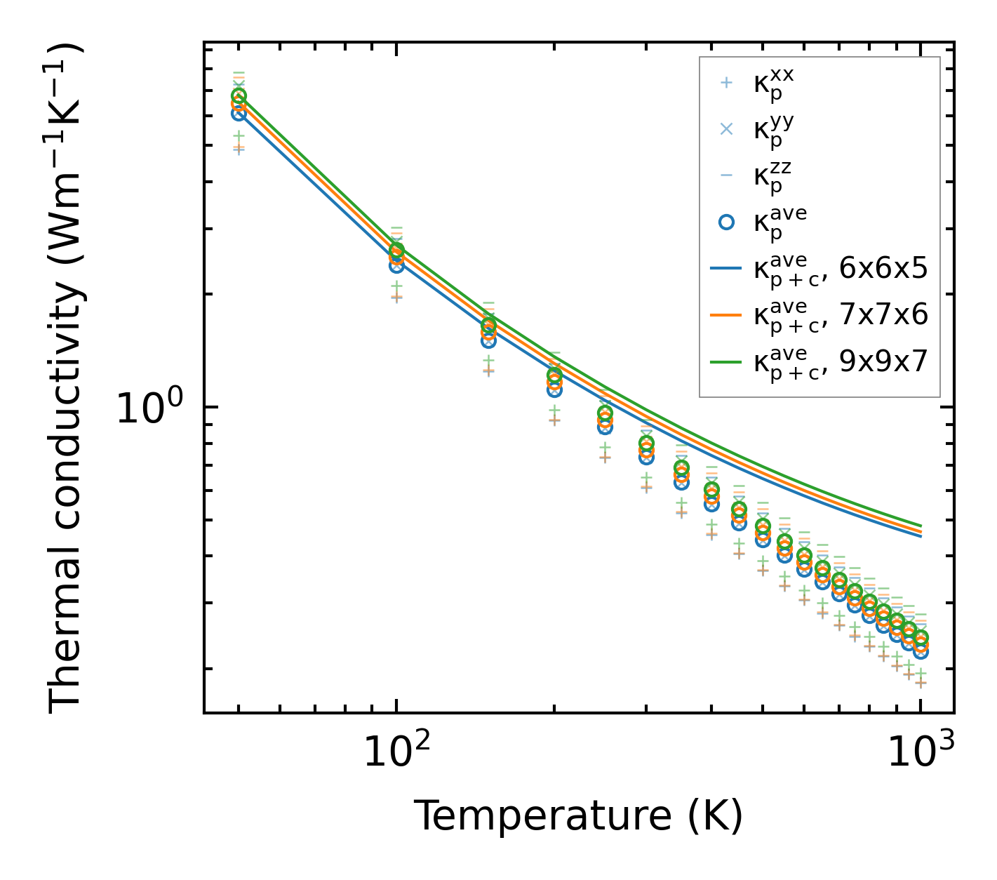
Thermal conductivity

3-phonon (LASSO) — q-mesh: 9x9x7, supercell: 1x2x1

../../_images/fig_kappa6024.png

(a) Temperature-dependent lattice thermal conductivity

../../_images/fig_kappa_vs_grain_size3223.png

(b) Peierls lattice thermal conductivity w.r.t grain size

Phonon lifetime and scattering rates

../../_images/fig_lifetime3154.png

(a) Phonon lifetime due to phonon-phonon scattering

../../_images/fig_scat_rates3153.png

(b) Phonon scattering rates

Cumulative and spectral thermal conductivity

../../_images/fig_cumu_frequency3154.png

(a) Spectral and cumulative thermal conductivity w.r.t frequency

../../_images/fig_cumu_mfp3153.png

(b) Spectral and cumulative thermal conductivity w.r.t MFP

Force constants

../../_images/fig_fc27352.png

(a) Force constants w.r.t atomic distance

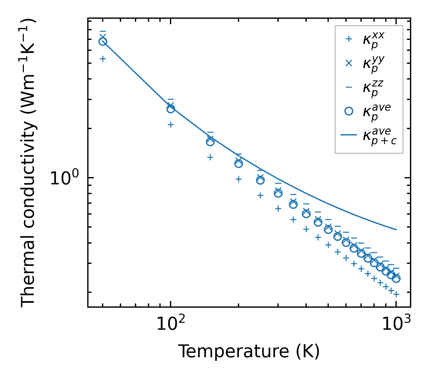
Summary

../../_images/fig_kappa6025.png

(a) Temperature-dependent lattice thermal conductivity

../../_images/fig_times13424.png

(b) Computation time