mp-560947/Ag4SN2O2/anharm

Harmonic properties

../../_images/fig_bandos_pr7607.png

(a) Phonon dispersion with participation ratio and DOS

../../_images/fig_bandos10689.png

(b) Phonon dispersion and DOS

../../_images/fig_thermo7607.png

(c) Thermodynamic properties

Grüneisen parameters

../../_images/fig_gru_all3191.png

(a) Grüneisen parameters

../../_images/fig_gruneisen3191.png

(b) Phonon dispersion with Grüneisen parameters

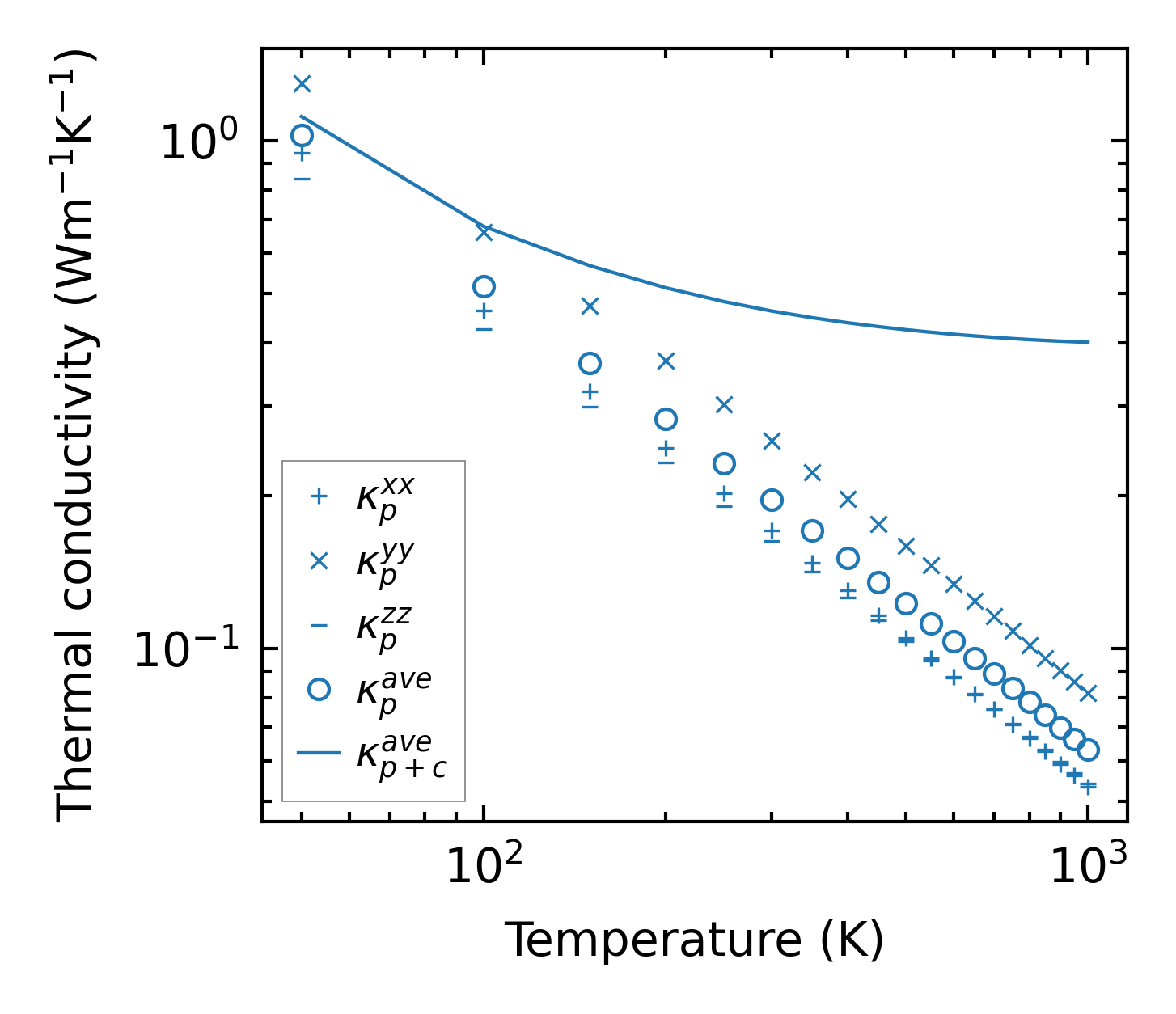
Thermal conductivity

3-phonon (LASSO) — q-mesh: 7x12x8, supercell: 1x2x2

../../_images/fig_kappa6041.png

(a) Temperature-dependent lattice thermal conductivity

../../_images/fig_kappa_vs_grain_size3232.png

(b) Peierls lattice thermal conductivity w.r.t grain size

Phonon lifetime and scattering rates

../../_images/fig_lifetime3163.png

(a) Phonon lifetime due to phonon-phonon scattering

../../_images/fig_scat_rates3162.png

(b) Phonon scattering rates

Cumulative and spectral thermal conductivity

../../_images/fig_cumu_frequency3163.png

(a) Spectral and cumulative thermal conductivity w.r.t frequency

../../_images/fig_cumu_mfp3162.png

(b) Spectral and cumulative thermal conductivity w.r.t MFP

Force constants

../../_images/fig_fc27370.png

(a) Force constants w.r.t atomic distance

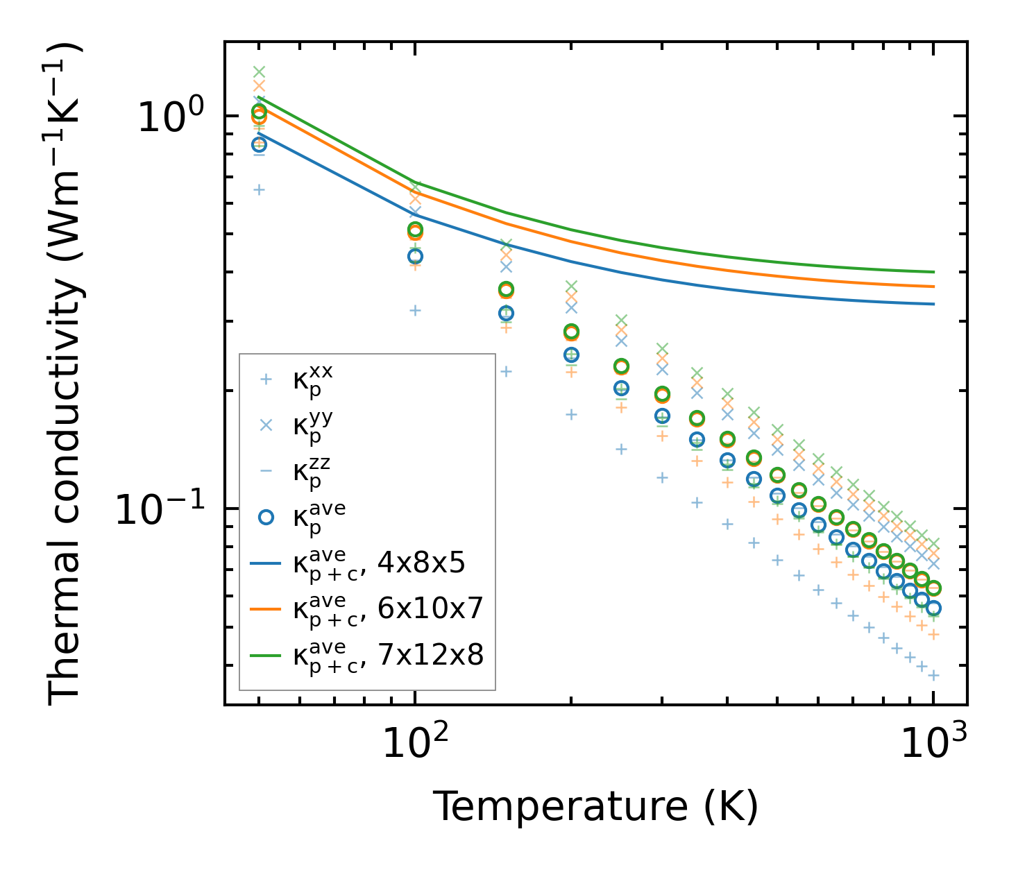
Summary

../../_images/fig_kappa6042.png

(a) Temperature-dependent lattice thermal conductivity

../../_images/fig_times13455.png

(b) Computation time