mp-560146/Ba17Y16Zn8Pt4O57/anharm

Harmonic properties

../../_images/fig_bandos_pr7763.png

(a) Phonon dispersion with participation ratio and DOS

../../_images/fig_thermo7763.png

(b) Thermodynamic properties

Grüneisen parameters

../../_images/fig_gru_all3239.png

(a) Grüneisen parameters

../../_images/fig_gruneisen3239.png

(b) Phonon dispersion with Grüneisen parameters

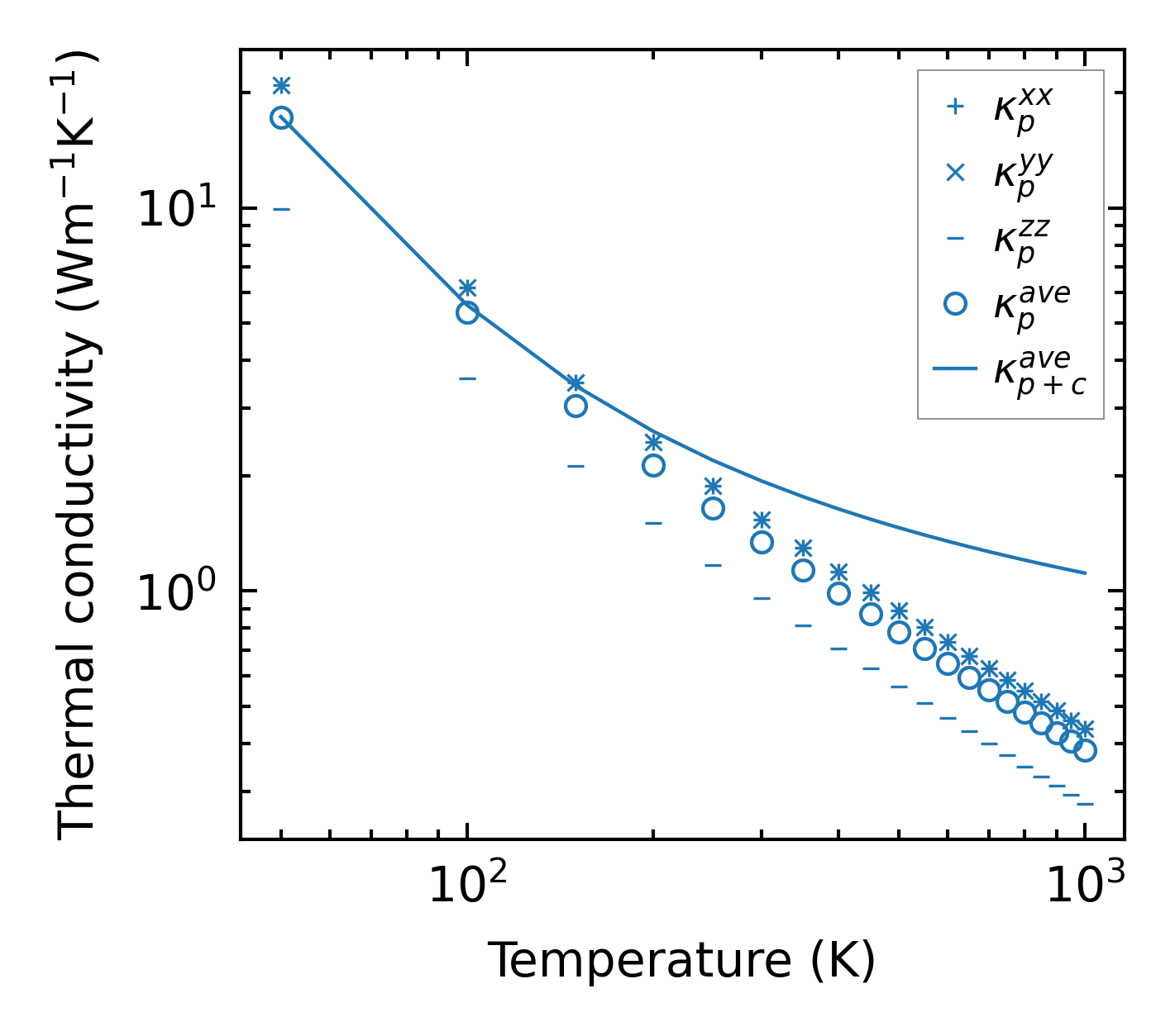
Thermal conductivity

3-phonon (LASSO) — q-mesh: 6x6x6, supercell: 1x1x1

../../_images/fig_kappa6135.png

(a) Temperature-dependent lattice thermal conductivity

../../_images/fig_kappa_vs_grain_size3281.png

(b) Peierls lattice thermal conductivity w.r.t grain size

Phonon lifetime and scattering rates

../../_images/fig_lifetime3211.png

(a) Phonon lifetime due to phonon-phonon scattering

../../_images/fig_scat_rates3210.png

(b) Phonon scattering rates

Cumulative and spectral thermal conductivity

../../_images/fig_cumu_frequency3211.png

(a) Spectral and cumulative thermal conductivity w.r.t frequency

../../_images/fig_cumu_mfp3210.png

(b) Spectral and cumulative thermal conductivity w.r.t MFP

Force constants

../../_images/fig_fc27526.png

(a) Force constants w.r.t atomic distance

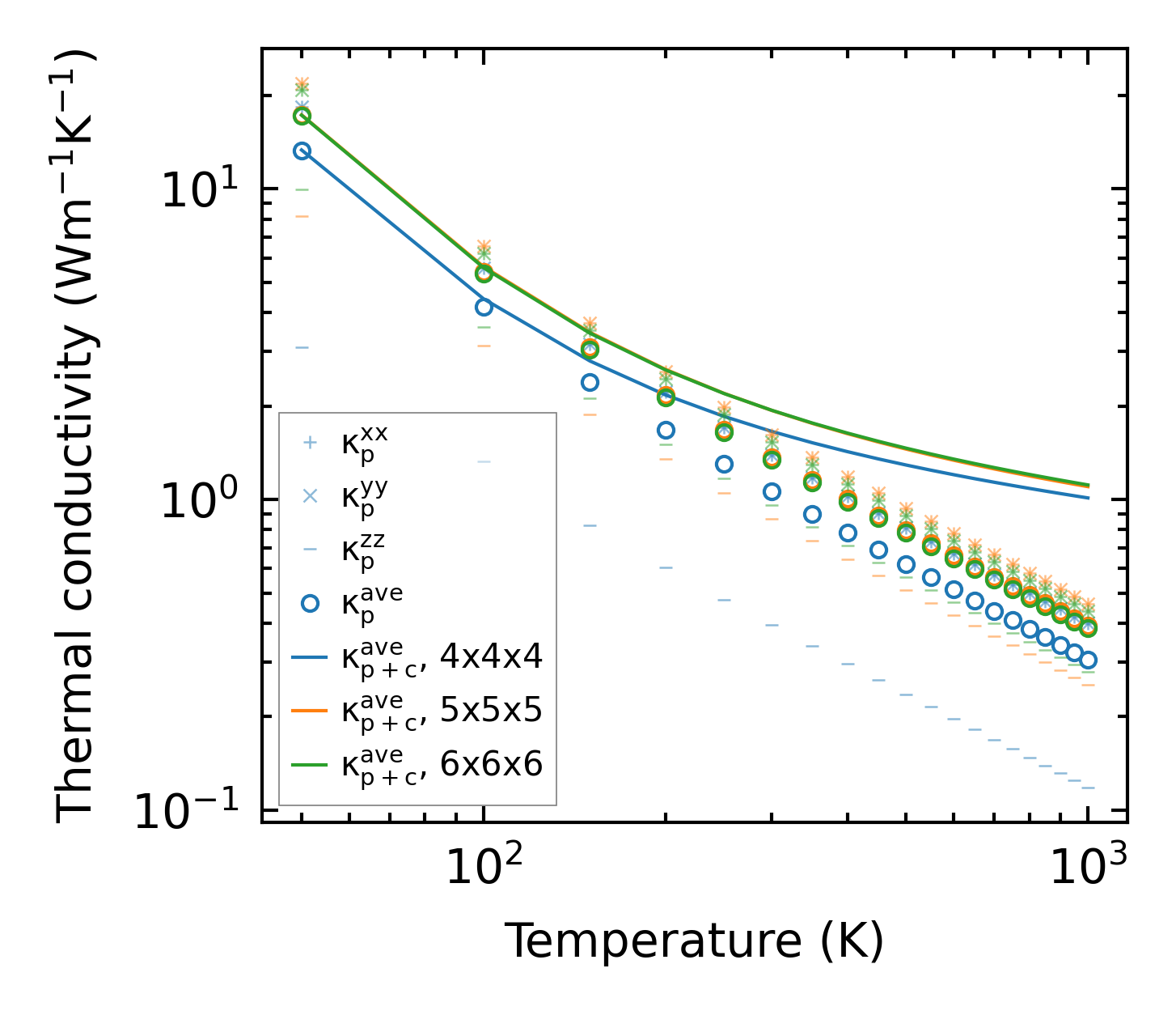
Summary

../../_images/fig_kappa6136.png

(a) Temperature-dependent lattice thermal conductivity

../../_images/fig_times13703.png

(b) Computation time