mp-560670/MgSeO4/anharm

Harmonic properties

../../_images/fig_bandos_pr7549.png

(a) Phonon dispersion with participation ratio and DOS

../../_images/fig_thermo7549.png

(b) Thermodynamic properties

Grüneisen parameters

../../_images/fig_gru_all3167.png

(a) Grüneisen parameters

../../_images/fig_gruneisen3167.png

(b) Phonon dispersion with Grüneisen parameters

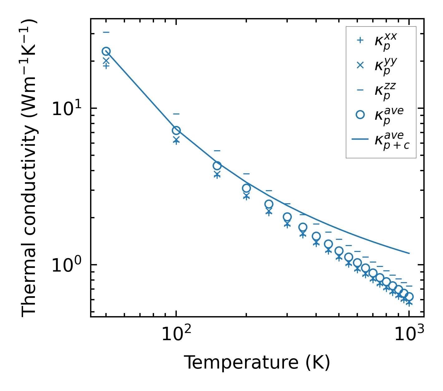
Thermal conductivity

3-phonon (LASSO) — q-mesh: 7x10x14, supercell: 1x2x2

../../_images/fig_kappa5997.png

(a) Temperature-dependent lattice thermal conductivity

../../_images/fig_kappa_vs_grain_size3208.png

(b) Peierls lattice thermal conductivity w.r.t grain size

Phonon lifetime and scattering rates

../../_images/fig_lifetime3139.png

(a) Phonon lifetime due to phonon-phonon scattering

../../_images/fig_scat_rates3138.png

(b) Phonon scattering rates

Cumulative and spectral thermal conductivity

../../_images/fig_cumu_frequency3139.png

(a) Spectral and cumulative thermal conductivity w.r.t frequency

../../_images/fig_cumu_mfp3138.png

(b) Spectral and cumulative thermal conductivity w.r.t MFP

Force constants

../../_images/fig_fc27313.png

(a) Force constants w.r.t atomic distance

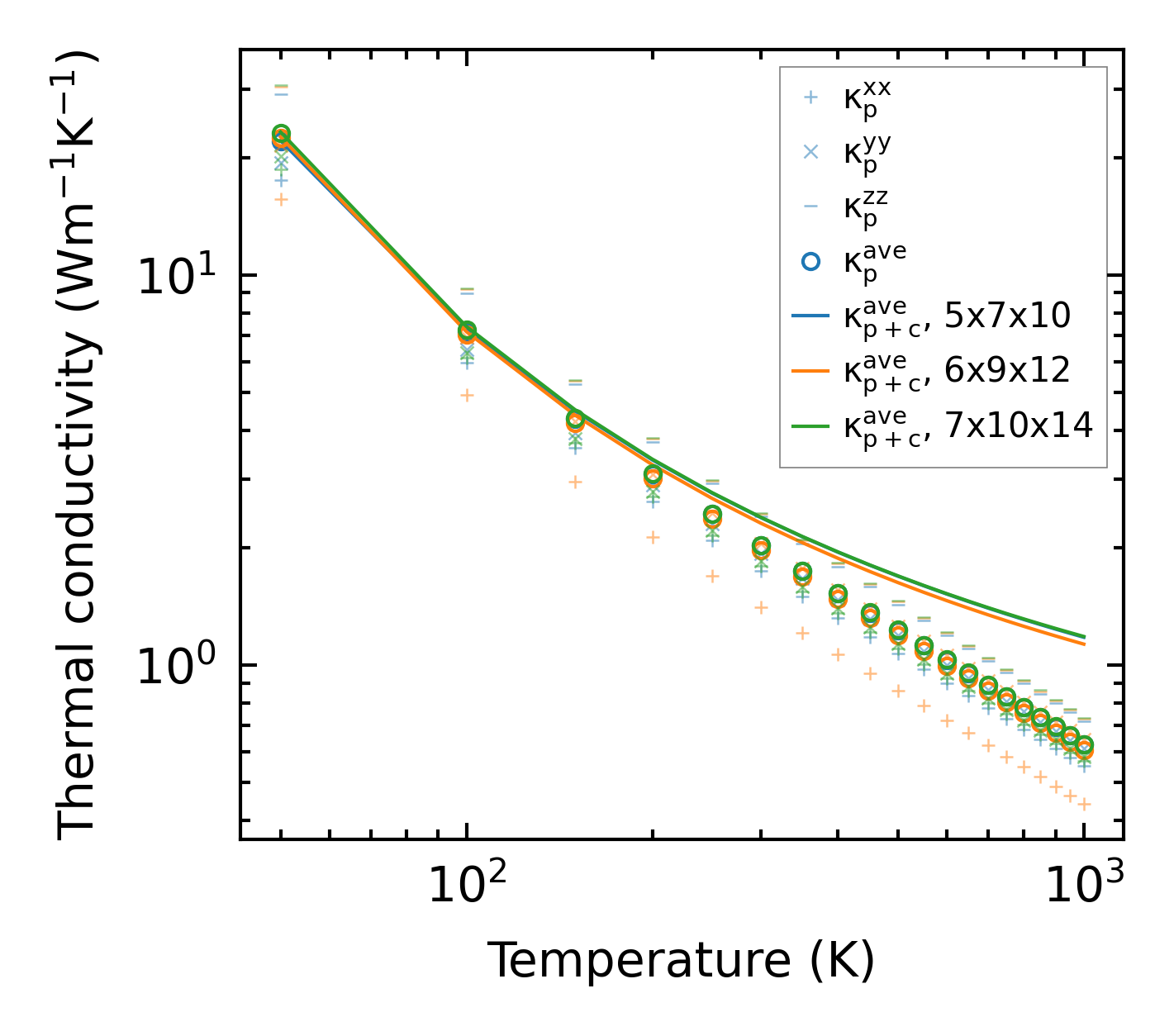
Summary

../../_images/fig_kappa5998.png

(a) Temperature-dependent lattice thermal conductivity

../../_images/fig_times13360.png

(b) Computation time