mp-560538/Na3AlS3/anharm

Harmonic properties

../../_images/fig_bandos_pr7513.png

(a) Phonon dispersion with participation ratio and DOS

../../_images/fig_thermo7513.png

(b) Thermodynamic properties

Grüneisen parameters

../../_images/fig_gru_all3146.png

(a) Grüneisen parameters

../../_images/fig_gruneisen3146.png

(b) Phonon dispersion with Grüneisen parameters

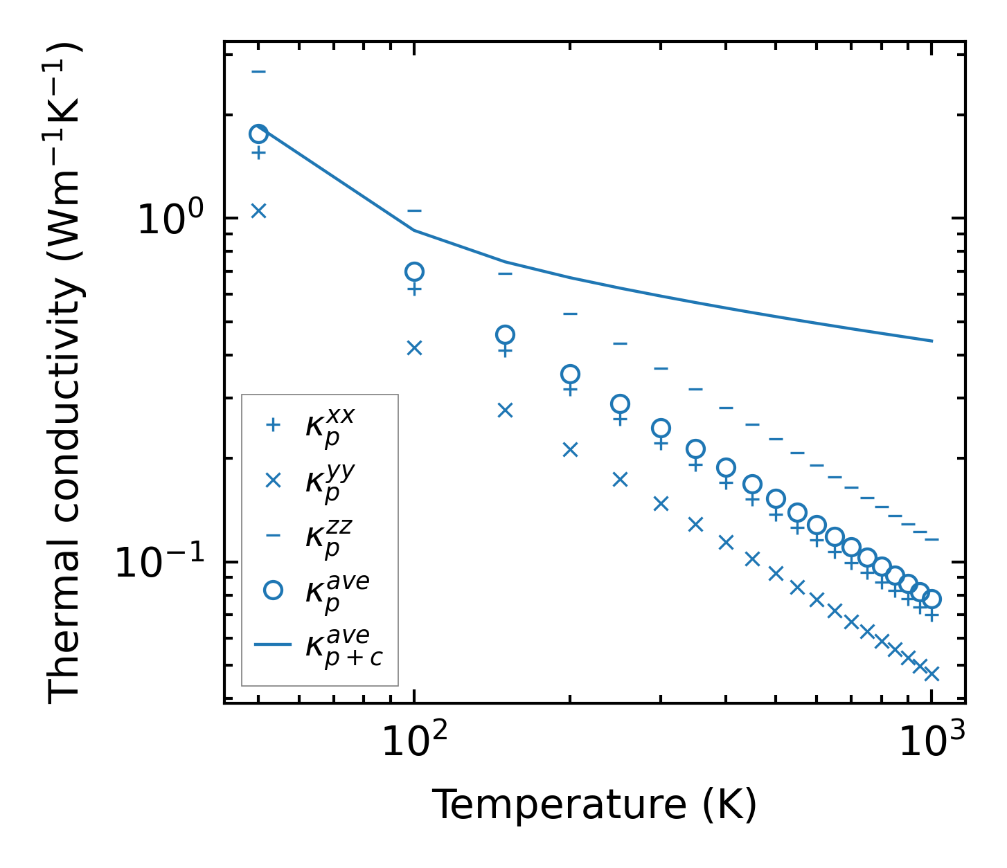
Thermal conductivity

3-phonon (LASSO) — q-mesh: 5x6x9, supercell: 1x1x2

../../_images/fig_kappa5956.png

(a) Temperature-dependent lattice thermal conductivity

../../_images/fig_kappa_vs_grain_size3187.png

(b) Peierls lattice thermal conductivity w.r.t grain size

Phonon lifetime and scattering rates

../../_images/fig_lifetime3118.png

(a) Phonon lifetime due to phonon-phonon scattering

../../_images/fig_scat_rates3117.png

(b) Phonon scattering rates

Cumulative and spectral thermal conductivity

../../_images/fig_cumu_frequency3118.png

(a) Spectral and cumulative thermal conductivity w.r.t frequency

../../_images/fig_cumu_mfp3117.png

(b) Spectral and cumulative thermal conductivity w.r.t MFP

Force constants

../../_images/fig_fc27277.png

(a) Force constants w.r.t atomic distance

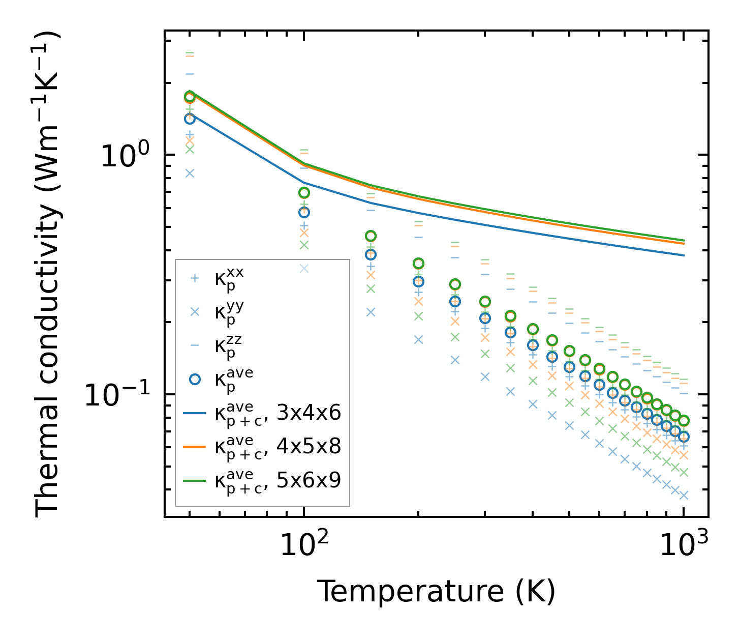
Summary

../../_images/fig_kappa5957.png

(a) Temperature-dependent lattice thermal conductivity

../../_images/fig_times13301.png

(b) Computation time