mp-560571/LaPS4/anharm

Harmonic properties

../../_images/fig_bandos_pr7521.png

(a) Phonon dispersion with participation ratio and DOS

../../_images/fig_thermo7521.png

(b) Thermodynamic properties

Grüneisen parameters

../../_images/fig_gru_all3151.png

(a) Grüneisen parameters

../../_images/fig_gruneisen3151.png

(b) Phonon dispersion with Grüneisen parameters

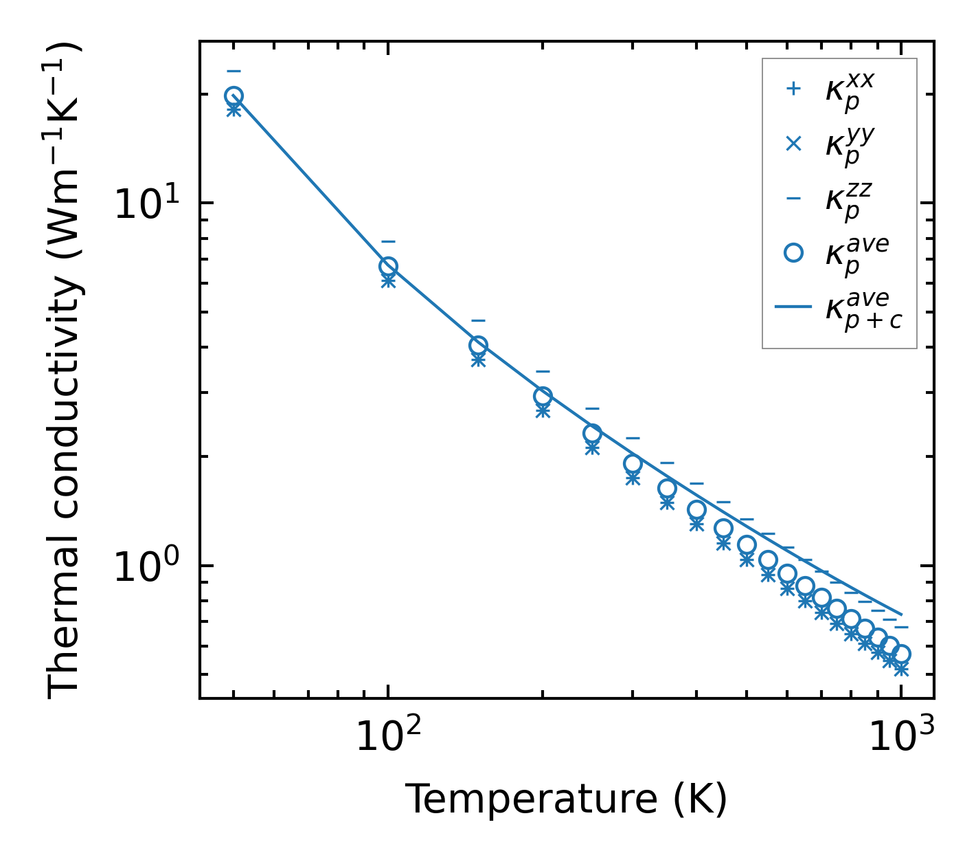
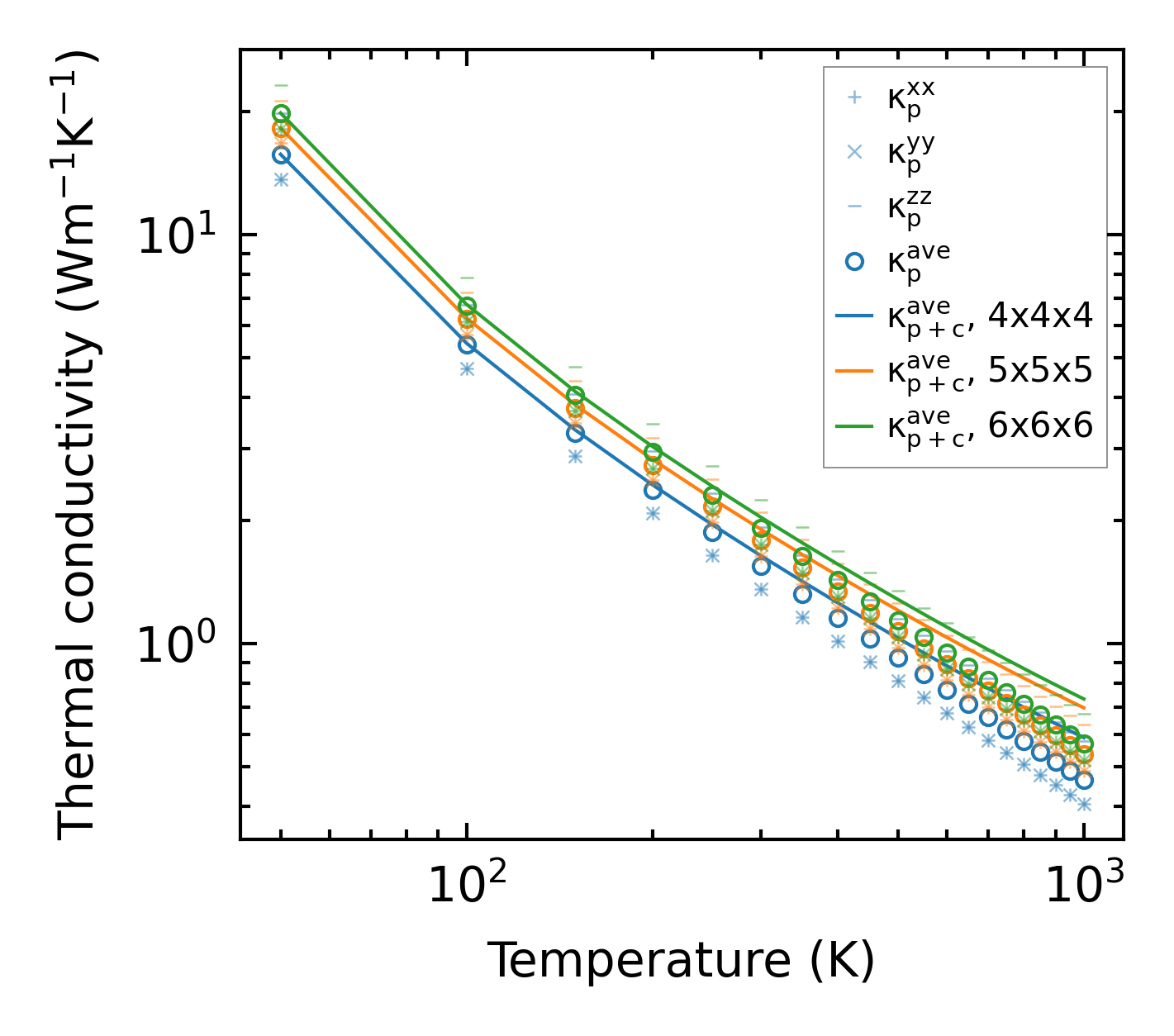
Thermal conductivity

3-phonon (LASSO) — q-mesh: 6x6x6, supercell: 1x1x1

../../_images/fig_kappa5966.png

(a) Temperature-dependent lattice thermal conductivity

../../_images/fig_kappa_vs_grain_size3192.png

(b) Peierls lattice thermal conductivity w.r.t grain size

Phonon lifetime and scattering rates

../../_images/fig_lifetime3123.png

(a) Phonon lifetime due to phonon-phonon scattering

../../_images/fig_scat_rates3122.png

(b) Phonon scattering rates

Cumulative and spectral thermal conductivity

../../_images/fig_cumu_frequency3123.png

(a) Spectral and cumulative thermal conductivity w.r.t frequency

../../_images/fig_cumu_mfp3122.png

(b) Spectral and cumulative thermal conductivity w.r.t MFP

Force constants

../../_images/fig_fc27285.png

(a) Force constants w.r.t atomic distance

Summary

../../_images/fig_kappa5967.png

(a) Temperature-dependent lattice thermal conductivity

../../_images/fig_times13315.png

(b) Computation time