mp-560356/Sm3Si2S8I/anharm

Harmonic properties

../../_images/fig_bandos_pr7474.png

(a) Phonon dispersion with participation ratio and DOS

../../_images/fig_thermo7474.png

(b) Thermodynamic properties

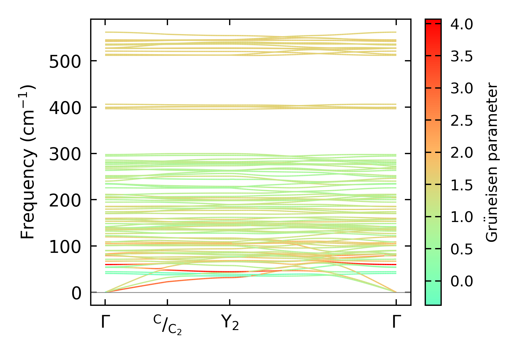
Grüneisen parameters

../../_images/fig_gru_all3133.png

(a) Grüneisen parameters

../../_images/fig_gruneisen3133.png

(b) Phonon dispersion with Grüneisen parameters

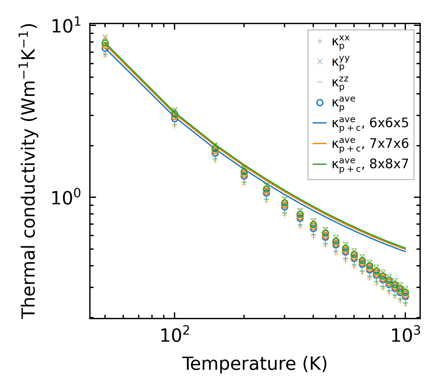
Thermal conductivity

3-phonon (LASSO) — q-mesh: 8x8x7, supercell: 1x2x1

../../_images/fig_kappa5933.png

(a) Temperature-dependent lattice thermal conductivity

../../_images/fig_kappa_vs_grain_size3174.png

(b) Peierls lattice thermal conductivity w.r.t grain size

Phonon lifetime and scattering rates

../../_images/fig_lifetime3105.png

(a) Phonon lifetime due to phonon-phonon scattering

../../_images/fig_scat_rates3104.png

(b) Phonon scattering rates

Cumulative and spectral thermal conductivity

../../_images/fig_cumu_frequency3105.png

(a) Spectral and cumulative thermal conductivity w.r.t frequency

../../_images/fig_cumu_mfp3104.png

(b) Spectral and cumulative thermal conductivity w.r.t MFP

Force constants

../../_images/fig_fc27238.png

(a) Force constants w.r.t atomic distance

Summary

../../_images/fig_kappa5934.png

(a) Temperature-dependent lattice thermal conductivity

../../_images/fig_times13243.png

(b) Computation time