mp-560270/CsCrClO3/anharm

Harmonic properties

../../_images/fig_bandos_pr7792.png

(a) Phonon dispersion with participation ratio and DOS

../../_images/fig_thermo7792.png

(b) Thermodynamic properties

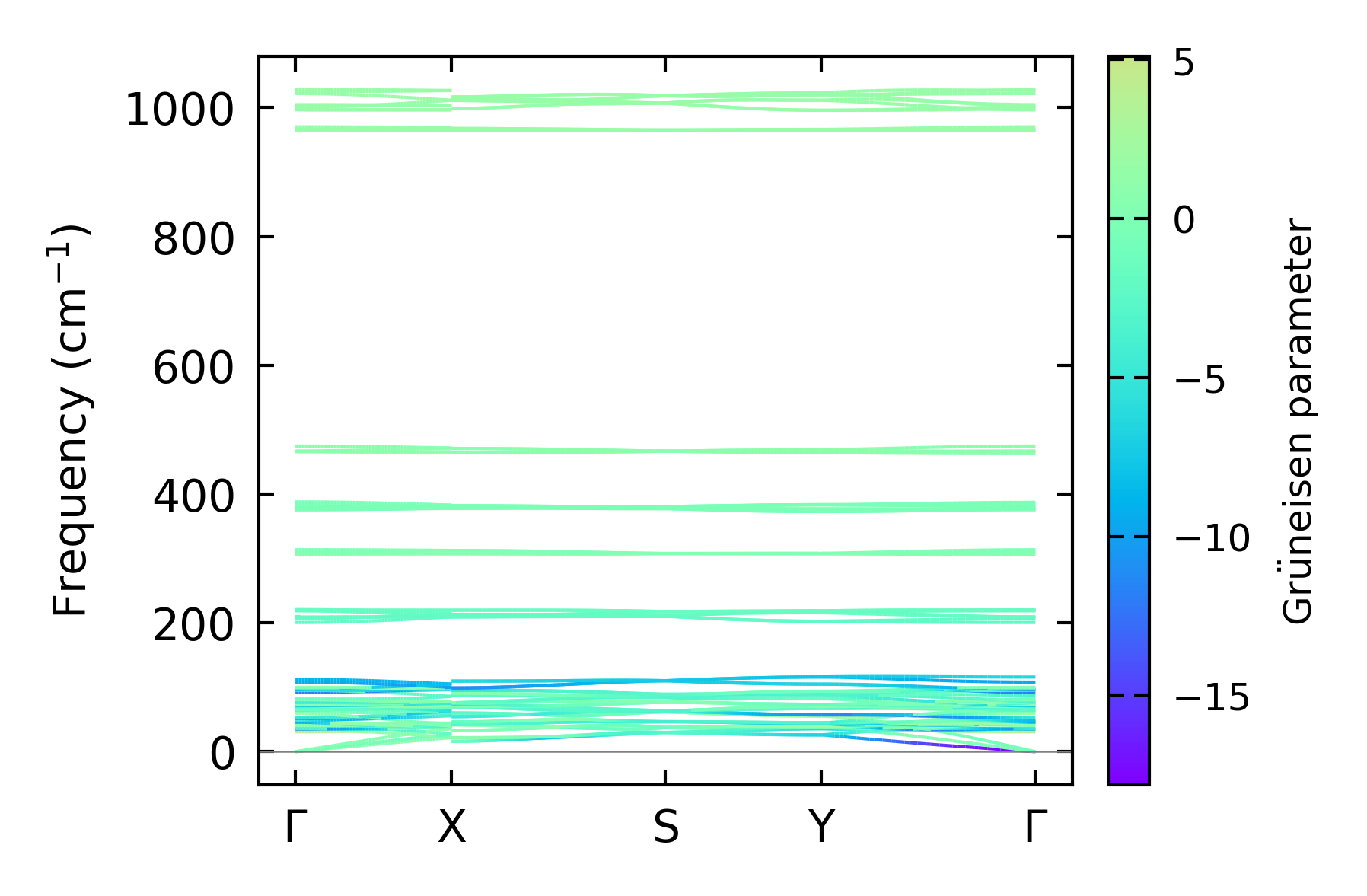
Grüneisen parameters

../../_images/fig_gru_all3246.png

(a) Grüneisen parameters

../../_images/fig_gruneisen3246.png

(b) Phonon dispersion with Grüneisen parameters

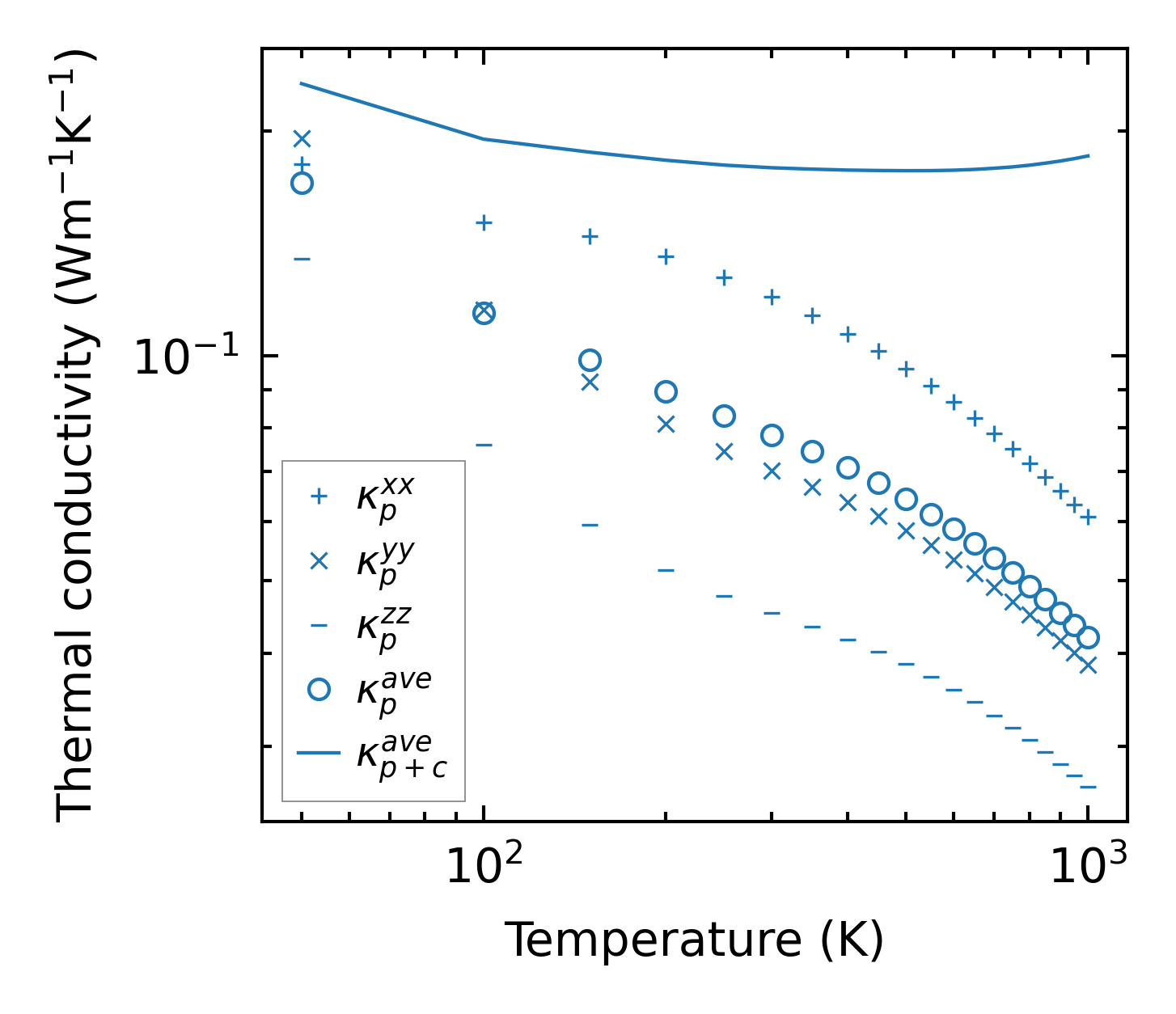
Thermal conductivity

3-phonon (LASSO) — q-mesh: 7x12x8, supercell: 1x2x2

../../_images/fig_kappa6148.png

(a) Temperature-dependent lattice thermal conductivity

../../_images/fig_kappa_vs_grain_size3288.png

(b) Peierls lattice thermal conductivity w.r.t grain size

Phonon lifetime and scattering rates

../../_images/fig_lifetime3218.png

(a) Phonon lifetime due to phonon-phonon scattering

../../_images/fig_scat_rates3217.png

(b) Phonon scattering rates

Cumulative and spectral thermal conductivity

../../_images/fig_cumu_frequency3218.png

(a) Spectral and cumulative thermal conductivity w.r.t frequency

../../_images/fig_cumu_mfp3217.png

(b) Spectral and cumulative thermal conductivity w.r.t MFP

Force constants

../../_images/fig_fc27555.png

(a) Force constants w.r.t atomic distance

Summary

../../_images/fig_kappa6149.png

(a) Temperature-dependent lattice thermal conductivity

../../_images/fig_times13748.png

(b) Computation time