mp-560790/Cs2NaBiF6/anharm

Harmonic properties

../../_images/fig_bandos_pr7569.png

(a) Phonon dispersion with participation ratio and DOS

../../_images/fig_thermo7569.png

(b) Thermodynamic properties

Grüneisen parameters

../../_images/fig_gru_all3174.png

(a) Grüneisen parameters

../../_images/fig_gruneisen3174.png

(b) Phonon dispersion with Grüneisen parameters

Thermal conductivity

3-phonon — q-mesh: 12x12x12, supercell: 1x1x1

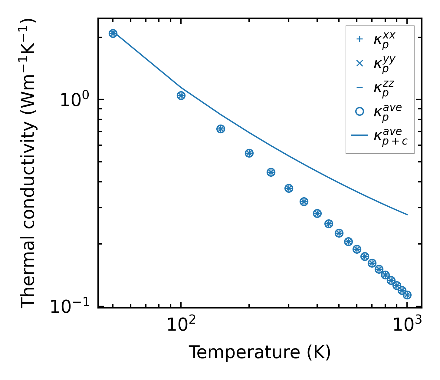
../../_images/fig_kappa6010.png

(a) Temperature-dependent lattice thermal conductivity

../../_images/fig_kappa_vs_grain_size3215.png

(b) Peierls lattice thermal conductivity w.r.t grain size

Phonon lifetime and scattering rates

../../_images/fig_lifetime3146.png

(a) Phonon lifetime due to phonon-phonon scattering

../../_images/fig_scat_rates3145.png

(b) Phonon scattering rates

Cumulative and spectral thermal conductivity

../../_images/fig_cumu_frequency3146.png

(a) Spectral and cumulative thermal conductivity w.r.t frequency

../../_images/fig_cumu_mfp3145.png

(b) Spectral and cumulative thermal conductivity w.r.t MFP

Force constants

../../_images/fig_fc3236.png

(a) Force constants w.r.t atomic distance

Summary

../../_images/fig_kappa6011.png

(a) Temperature-dependent lattice thermal conductivity

../../_images/fig_times13398.png

(b) Computation time