mp-560157-2/LiMgVO4/anharm

Harmonic properties

../../_images/fig_bandos_pr7768.png

(a) Phonon dispersion with participation ratio and DOS

../../_images/fig_thermo7768.png

(b) Thermodynamic properties

Grüneisen parameters

../../_images/fig_gru_all3241.png

(a) Grüneisen parameters

../../_images/fig_gruneisen3241.png

(b) Phonon dispersion with Grüneisen parameters

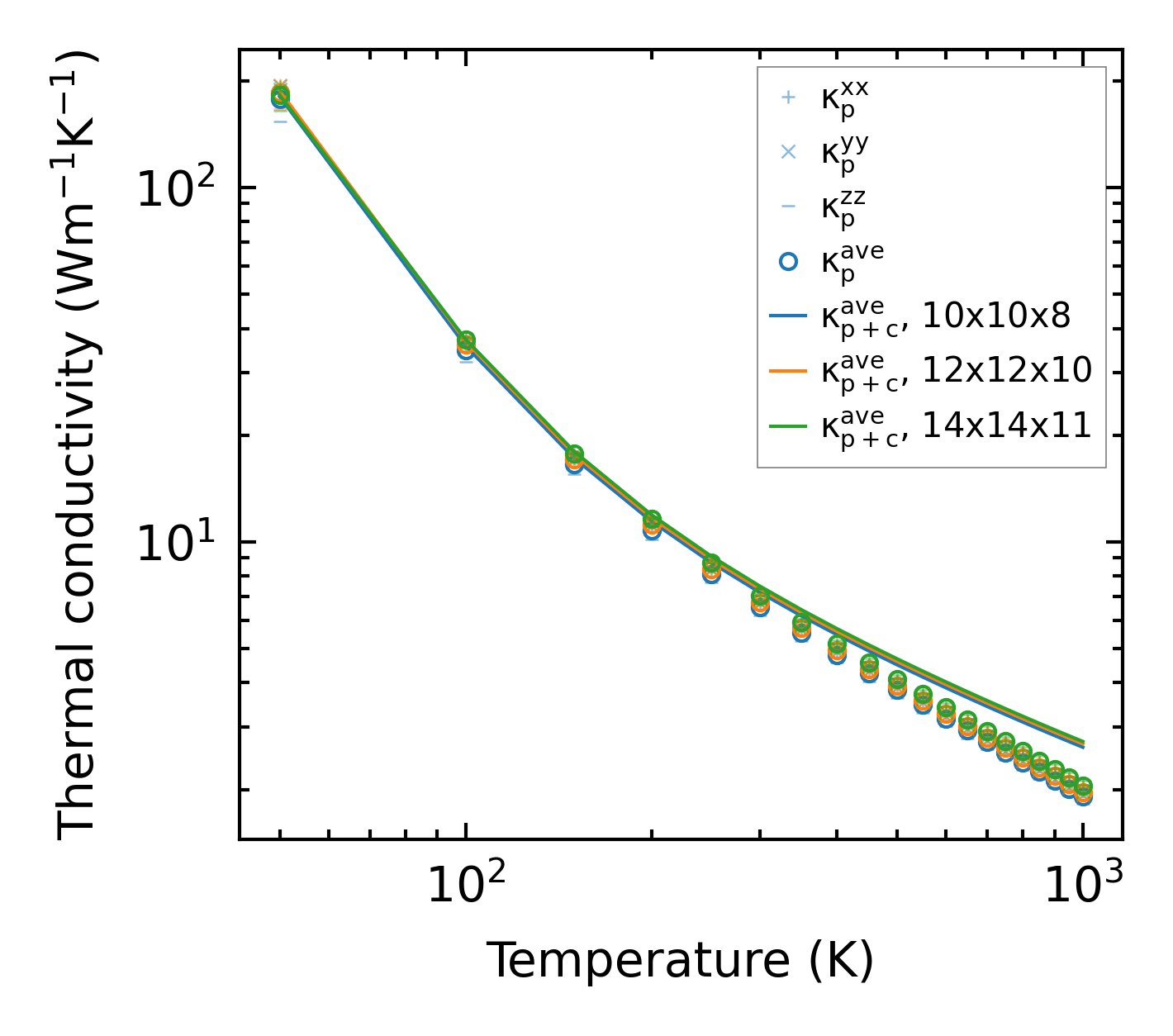
Thermal conductivity

3-phonon (LASSO) — q-mesh: 14x14x11, supercell: 2x1x2

../../_images/fig_kappa6139.png

(a) Temperature-dependent lattice thermal conductivity

../../_images/fig_kappa_vs_grain_size3283.png

(b) Peierls lattice thermal conductivity w.r.t grain size

Phonon lifetime and scattering rates

../../_images/fig_lifetime3213.png

(a) Phonon lifetime due to phonon-phonon scattering

../../_images/fig_scat_rates3212.png

(b) Phonon scattering rates

Cumulative and spectral thermal conductivity

../../_images/fig_cumu_frequency3213.png

(a) Spectral and cumulative thermal conductivity w.r.t frequency

../../_images/fig_cumu_mfp3212.png

(b) Spectral and cumulative thermal conductivity w.r.t MFP

Force constants

../../_images/fig_fc27531.png

(a) Force constants w.r.t atomic distance

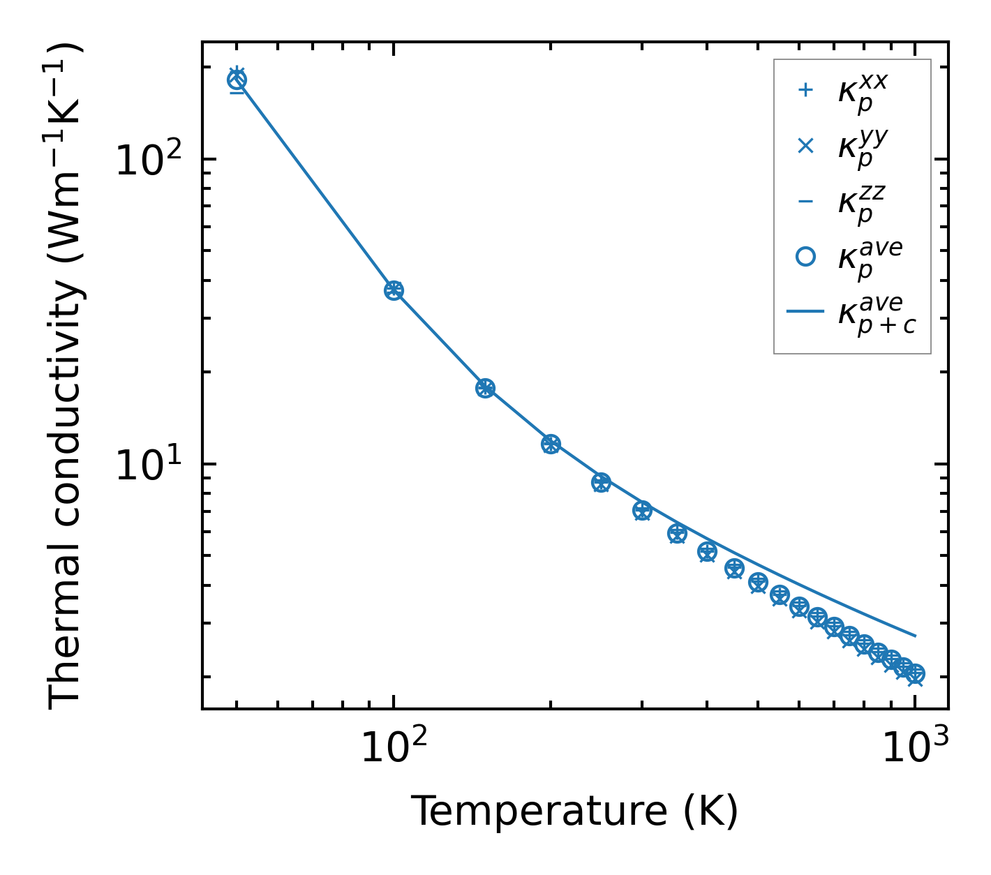
Summary

../../_images/fig_kappa6140.png

(a) Temperature-dependent lattice thermal conductivity

../../_images/fig_times13709.png

(b) Computation time