mp-560937/Na3Si3SnO9F/anharm

Harmonic properties

../../_images/fig_bandos_pr7605.png

(a) Phonon dispersion with participation ratio and DOS

../../_images/fig_thermo7605.png

(b) Thermodynamic properties

Grüneisen parameters

../../_images/fig_gru_all3190.png

(a) Grüneisen parameters

../../_images/fig_gruneisen3190.png

(b) Phonon dispersion with Grüneisen parameters

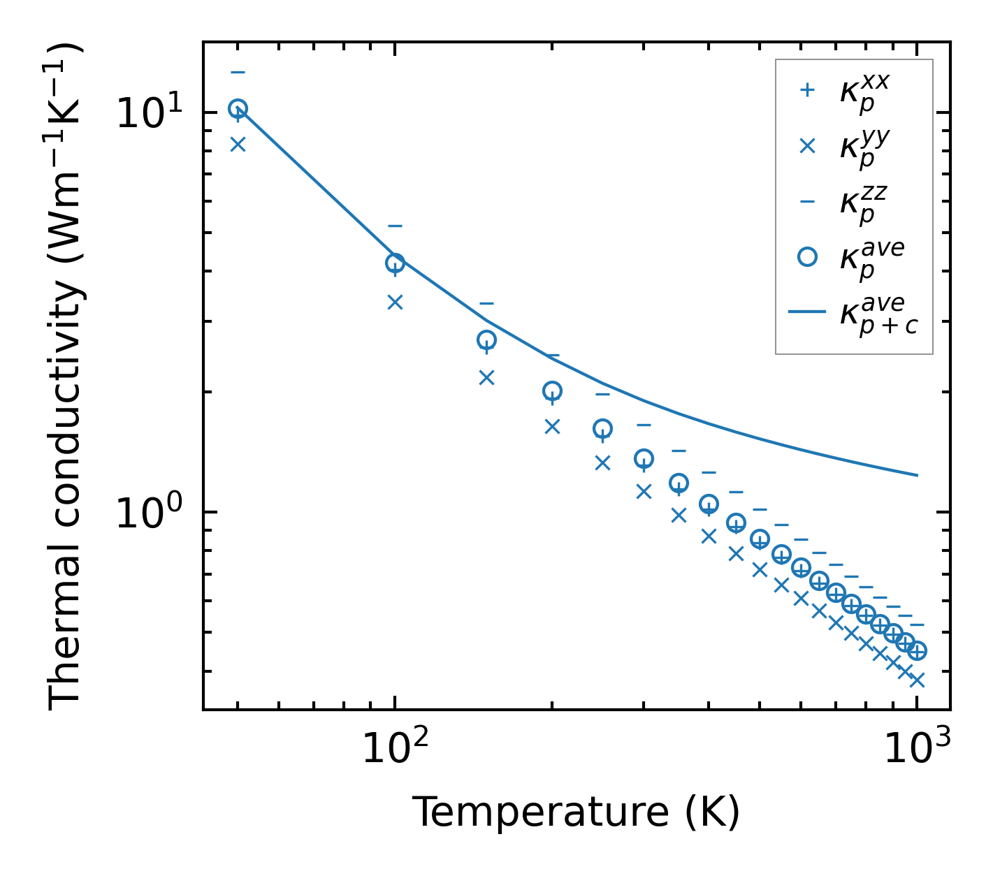
Thermal conductivity

3-phonon (LASSO) — q-mesh: 8x8x11, supercell: 1x1x2

../../_images/fig_kappa6039.png

(a) Temperature-dependent lattice thermal conductivity

../../_images/fig_kappa_vs_grain_size3231.png

(b) Peierls lattice thermal conductivity w.r.t grain size

Phonon lifetime and scattering rates

../../_images/fig_lifetime3162.png

(a) Phonon lifetime due to phonon-phonon scattering

../../_images/fig_scat_rates3161.png

(b) Phonon scattering rates

Cumulative and spectral thermal conductivity

../../_images/fig_cumu_frequency3162.png

(a) Spectral and cumulative thermal conductivity w.r.t frequency

../../_images/fig_cumu_mfp3161.png

(b) Spectral and cumulative thermal conductivity w.r.t MFP

Force constants

../../_images/fig_fc27368.png

(a) Force constants w.r.t atomic distance

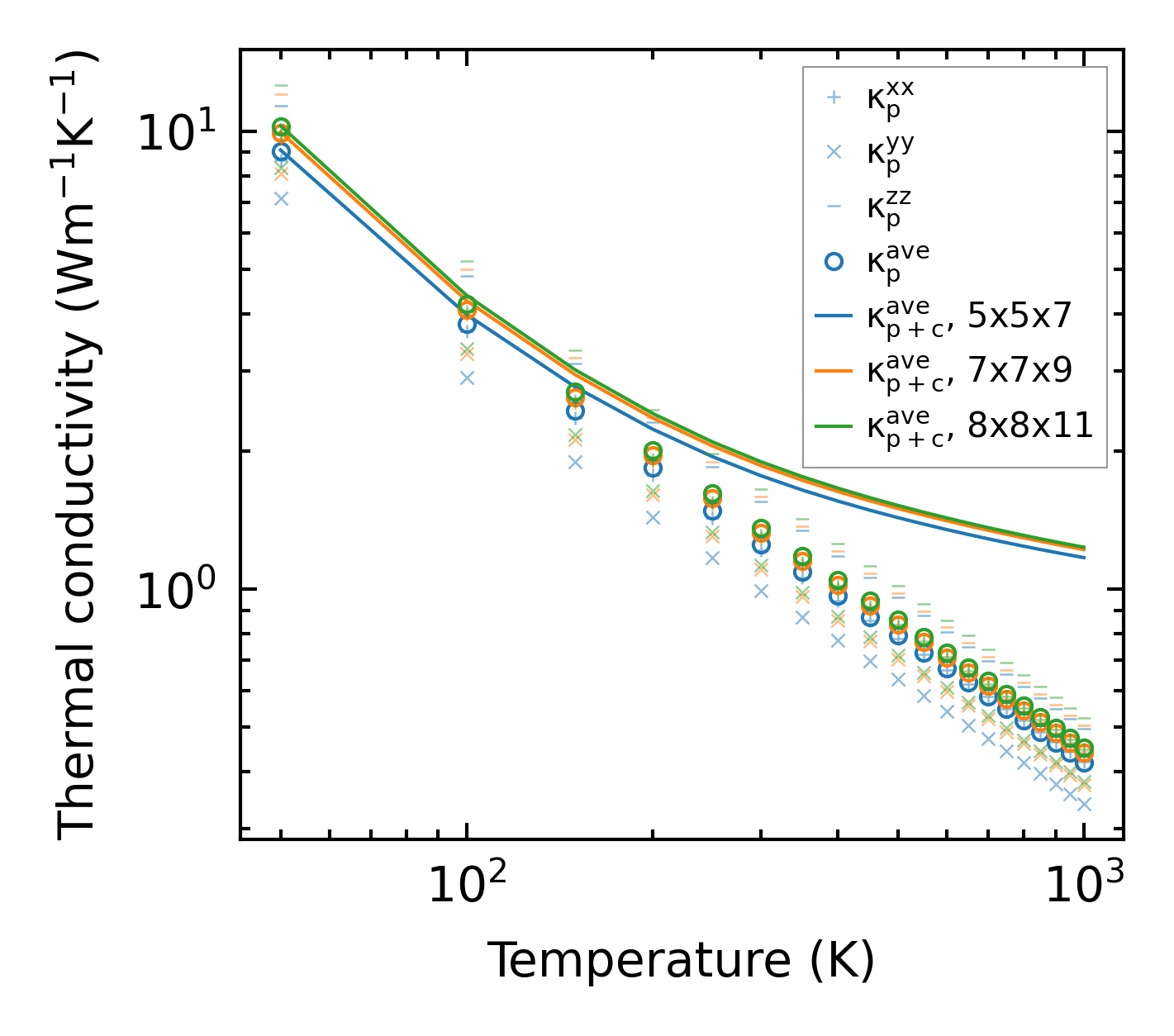
Summary

../../_images/fig_kappa6040.png

(a) Temperature-dependent lattice thermal conductivity

../../_images/fig_times13451.png

(b) Computation time