mp-560647/Ca2GeO4/anharm

Harmonic properties

../../_images/fig_bandos_pr7543.png

(a) Phonon dispersion with participation ratio and DOS

../../_images/fig_thermo7543.png

(b) Thermodynamic properties

Grüneisen parameters

../../_images/fig_gru_all3166.png

(a) Grüneisen parameters

../../_images/fig_gruneisen3166.png

(b) Phonon dispersion with Grüneisen parameters

Thermal conductivity

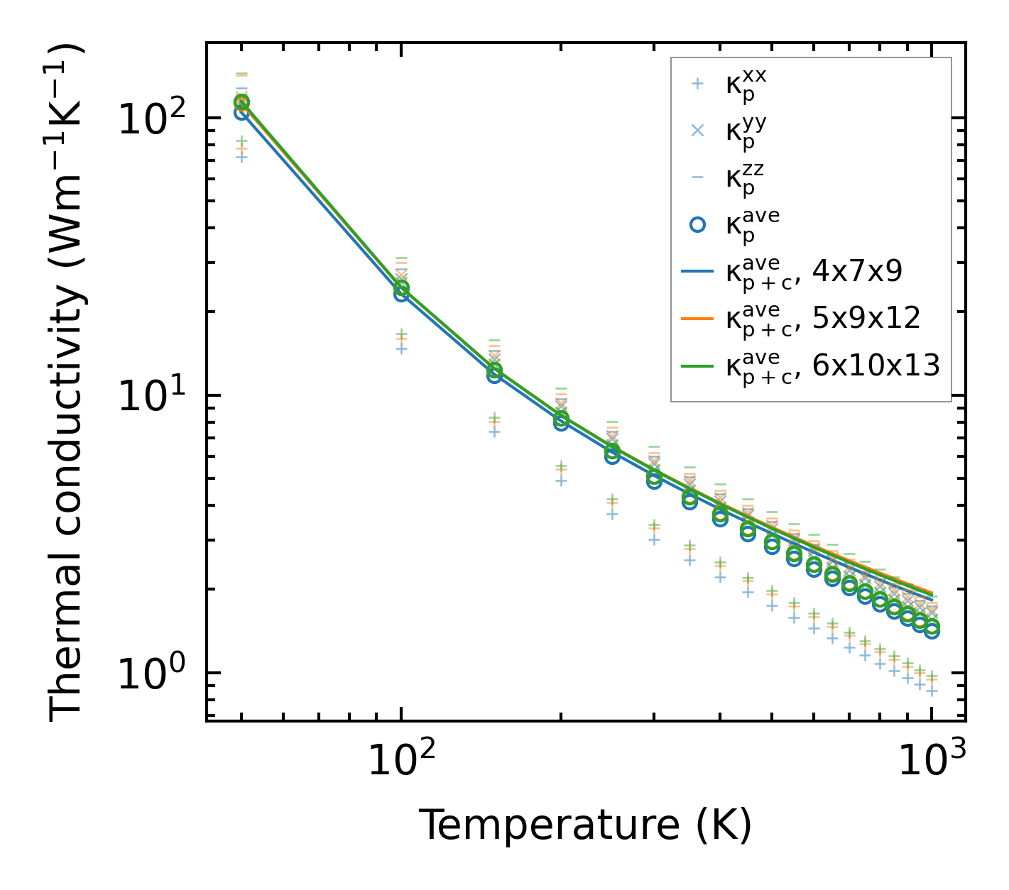
3-phonon (LASSO) — q-mesh: 6x10x13, supercell: 1x2x2

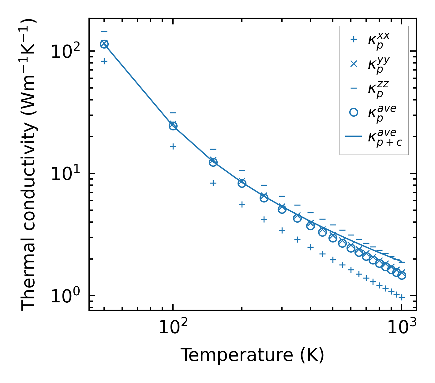
../../_images/fig_kappa5995.png

(a) Temperature-dependent lattice thermal conductivity

../../_images/fig_kappa_vs_grain_size3207.png

(b) Peierls lattice thermal conductivity w.r.t grain size

Phonon lifetime and scattering rates

../../_images/fig_lifetime3138.png

(a) Phonon lifetime due to phonon-phonon scattering

../../_images/fig_scat_rates3137.png

(b) Phonon scattering rates

Cumulative and spectral thermal conductivity

../../_images/fig_cumu_frequency3138.png

(a) Spectral and cumulative thermal conductivity w.r.t frequency

../../_images/fig_cumu_mfp3137.png

(b) Spectral and cumulative thermal conductivity w.r.t MFP

Force constants

../../_images/fig_fc27307.png

(a) Force constants w.r.t atomic distance

Summary

../../_images/fig_kappa5996.png

(a) Temperature-dependent lattice thermal conductivity

../../_images/fig_times13351.png

(b) Computation time