mp-560872/Mg10Ge3H4O18/anharm

Harmonic properties

../../_images/fig_bandos_pr7593.png

(a) Phonon dispersion with participation ratio and DOS

../../_images/fig_thermo7593.png

(b) Thermodynamic properties

Grüneisen parameters

../../_images/fig_gru_all3184.png

(a) Grüneisen parameters

../../_images/fig_gruneisen3184.png

(b) Phonon dispersion with Grüneisen parameters

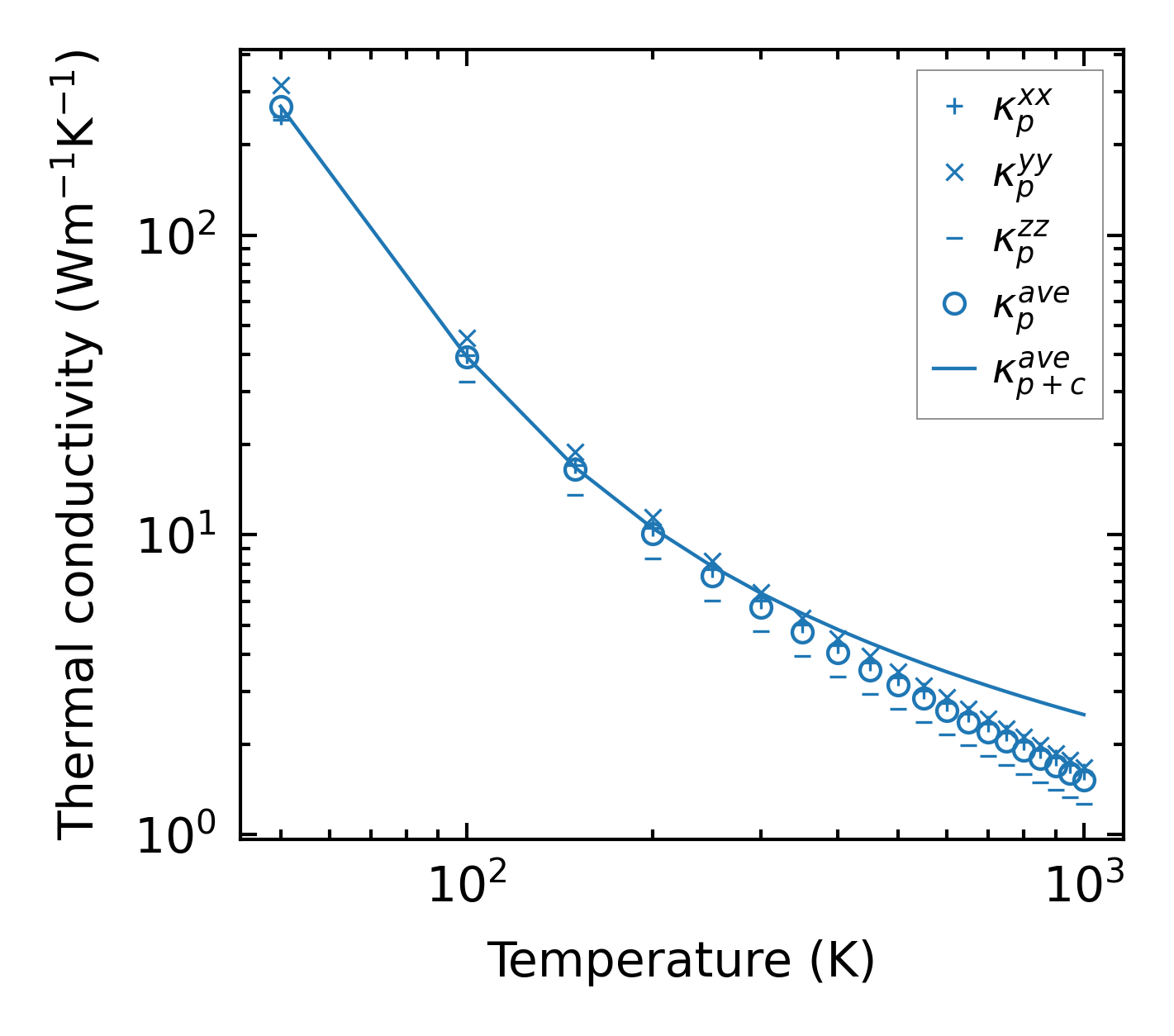
Thermal conductivity

3-phonon (LASSO) — q-mesh: 13x5x8, supercell: 2x1x1

../../_images/fig_kappa6028.png

(a) Temperature-dependent lattice thermal conductivity

../../_images/fig_kappa_vs_grain_size3225.png

(b) Peierls lattice thermal conductivity w.r.t grain size

Phonon lifetime and scattering rates

../../_images/fig_lifetime3156.png

(a) Phonon lifetime due to phonon-phonon scattering

../../_images/fig_scat_rates3155.png

(b) Phonon scattering rates

Cumulative and spectral thermal conductivity

../../_images/fig_cumu_frequency3156.png

(a) Spectral and cumulative thermal conductivity w.r.t frequency

../../_images/fig_cumu_mfp3155.png

(b) Spectral and cumulative thermal conductivity w.r.t MFP

Force constants

../../_images/fig_fc27356.png

(a) Force constants w.r.t atomic distance

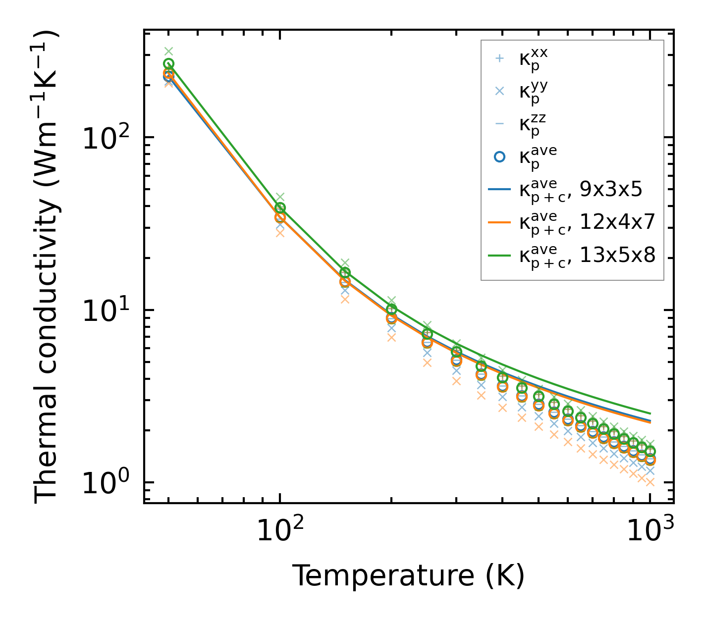
Summary

../../_images/fig_kappa6029.png

(a) Temperature-dependent lattice thermal conductivity

../../_images/fig_times13430.png

(b) Computation time