mp-560046/Ta2Pt3S8/anharm

Harmonic properties

../../_images/fig_bandos_pr7745.png

(a) Phonon dispersion with participation ratio and DOS

../../_images/fig_thermo7745.png

(b) Thermodynamic properties

Grüneisen parameters

../../_images/fig_gru_all3233.png

(a) Grüneisen parameters

../../_images/fig_gruneisen3233.png

(b) Phonon dispersion with Grüneisen parameters

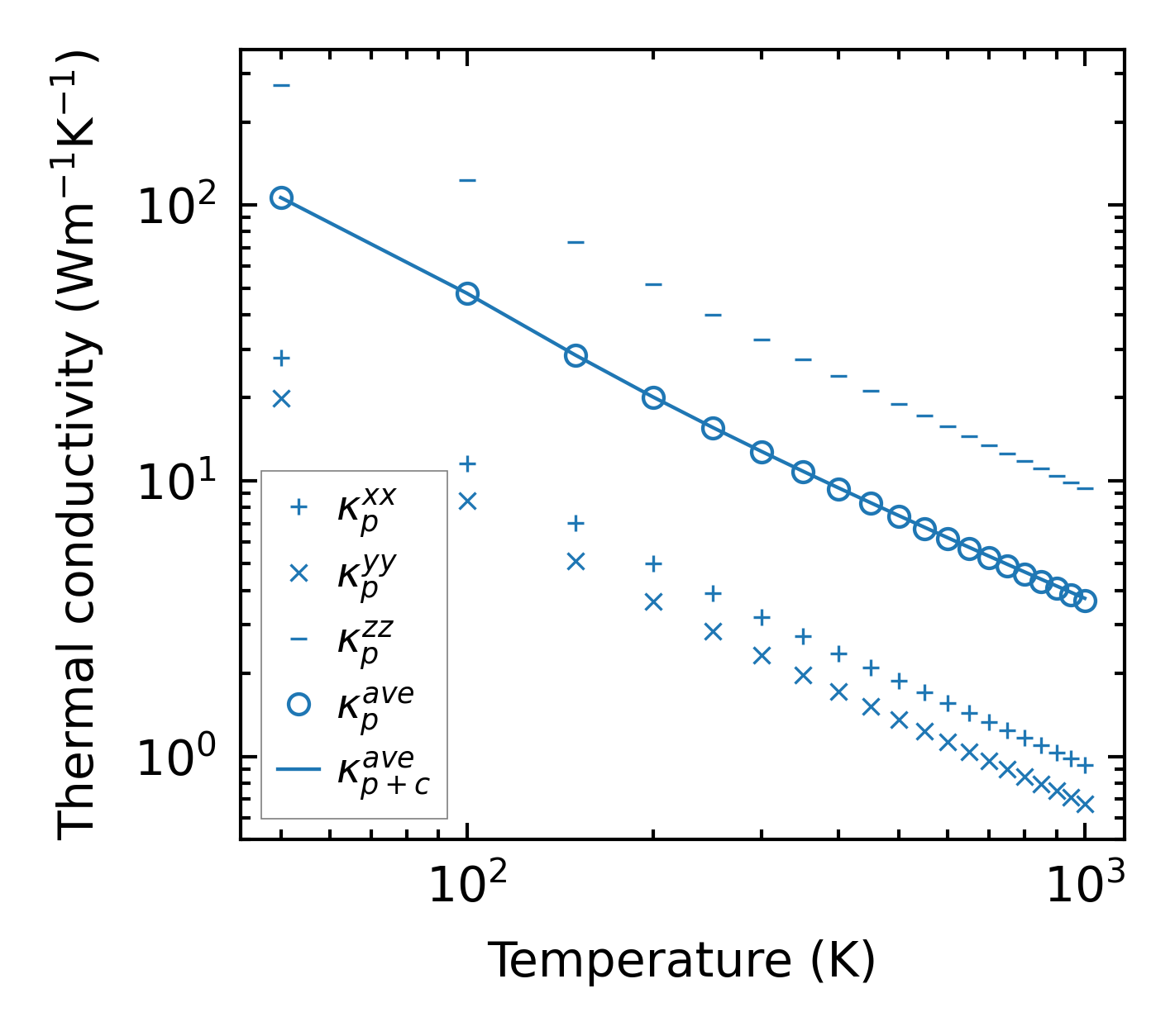
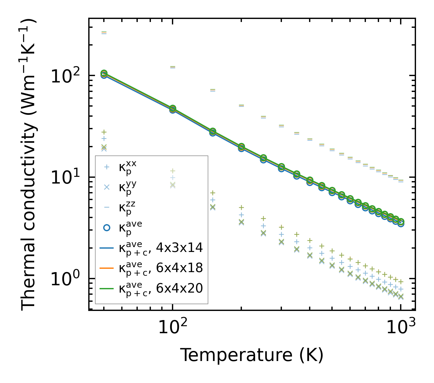
Thermal conductivity

3-phonon (LASSO) — q-mesh: 6x4x20, supercell: 1x1x4

../../_images/fig_kappa6123.png

(a) Temperature-dependent lattice thermal conductivity

../../_images/fig_kappa_vs_grain_size3275.png

(b) Peierls lattice thermal conductivity w.r.t grain size

Phonon lifetime and scattering rates

../../_images/fig_lifetime3205.png

(a) Phonon lifetime due to phonon-phonon scattering

../../_images/fig_scat_rates3204.png

(b) Phonon scattering rates

Cumulative and spectral thermal conductivity

../../_images/fig_cumu_frequency3205.png

(a) Spectral and cumulative thermal conductivity w.r.t frequency

../../_images/fig_cumu_mfp3204.png

(b) Spectral and cumulative thermal conductivity w.r.t MFP

Force constants

../../_images/fig_fc27508.png

(a) Force constants w.r.t atomic distance

Summary

../../_images/fig_kappa6124.png

(a) Temperature-dependent lattice thermal conductivity

../../_images/fig_times13661.png

(b) Computation time