mp-560798/Ba3Dy2P4S16/anharm

Harmonic properties

../../_images/fig_bandos_pr7571.png

(a) Phonon dispersion with participation ratio and DOS

../../_images/fig_thermo7571.png

(b) Thermodynamic properties

Grüneisen parameters

../../_images/fig_gru_all3176.png

(a) Grüneisen parameters

../../_images/fig_gruneisen3176.png

(b) Phonon dispersion with Grüneisen parameters

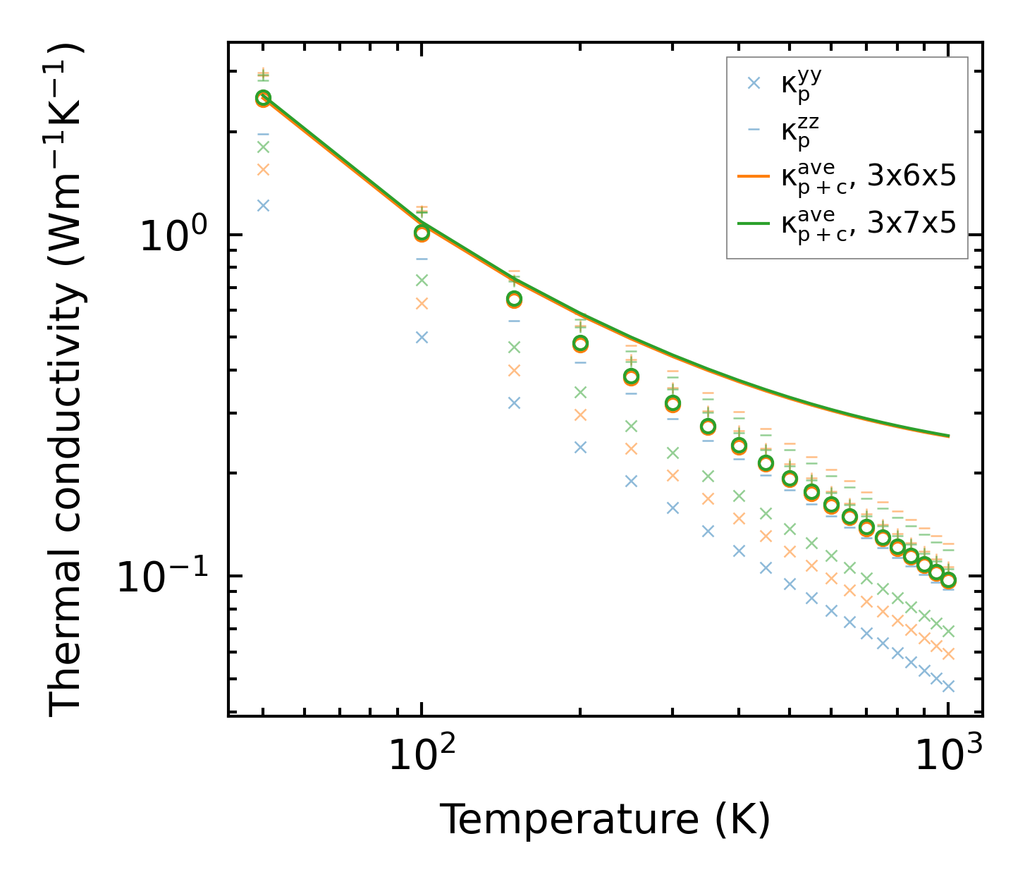
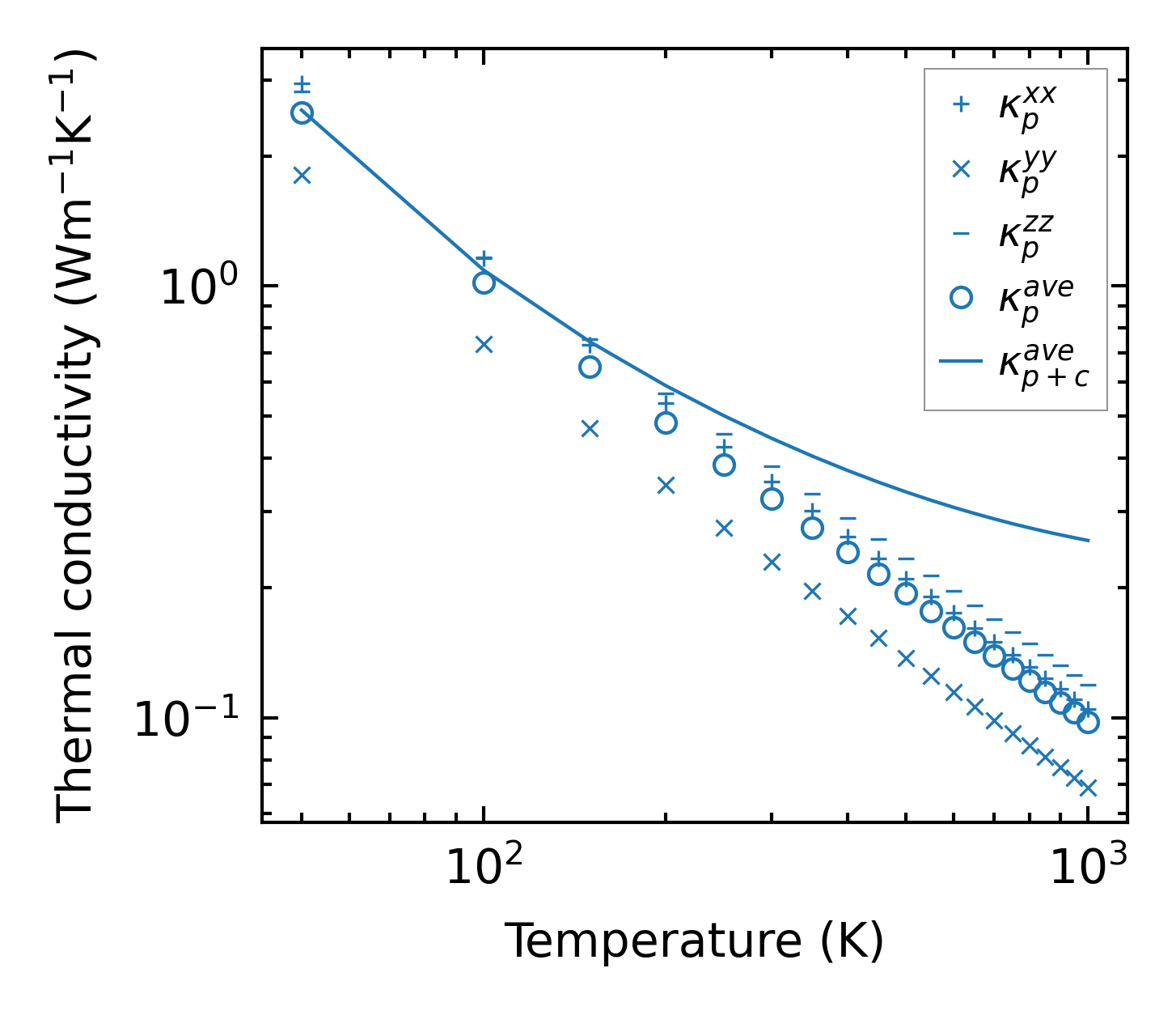
Thermal conductivity

3-phonon (LASSO) — q-mesh: 3x7x5, supercell: 1x1x1

../../_images/fig_kappa6014.png

(a) Temperature-dependent lattice thermal conductivity

../../_images/fig_kappa_vs_grain_size3217.png

(b) Peierls lattice thermal conductivity w.r.t grain size

Phonon lifetime and scattering rates

../../_images/fig_lifetime3148.png

(a) Phonon lifetime due to phonon-phonon scattering

../../_images/fig_scat_rates3147.png

(b) Phonon scattering rates

Cumulative and spectral thermal conductivity

../../_images/fig_cumu_frequency3148.png

(a) Spectral and cumulative thermal conductivity w.r.t frequency

../../_images/fig_cumu_mfp3147.png

(b) Spectral and cumulative thermal conductivity w.r.t MFP

Force constants

../../_images/fig_fc27334.png

(a) Force constants w.r.t atomic distance

Summary

../../_images/fig_kappa6015.png

(a) Temperature-dependent lattice thermal conductivity

../../_images/fig_times13400.png

(b) Computation time