mp-560739/K3Li3TeO6/anharm

Harmonic properties

../../_images/fig_bandos_pr7559.png

(a) Phonon dispersion with participation ratio and DOS

../../_images/fig_thermo7559.png

(b) Thermodynamic properties

Grüneisen parameters

../../_images/fig_gru_all3170.png

(a) Grüneisen parameters

../../_images/fig_gruneisen3170.png

(b) Phonon dispersion with Grüneisen parameters

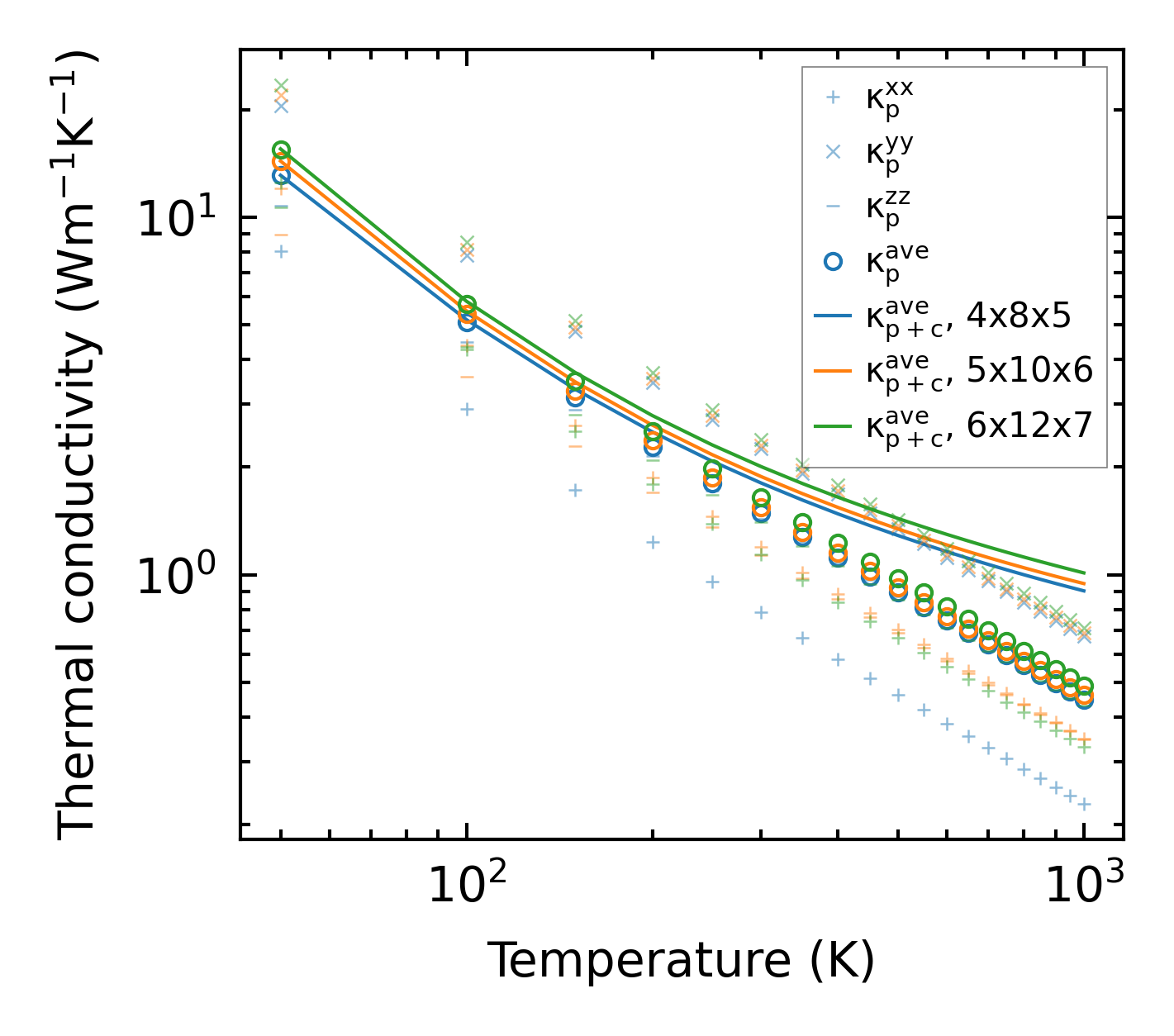
Thermal conductivity

3-phonon (LASSO) — q-mesh: 6x12x7, supercell: 1x2x1

../../_images/fig_kappa6002.png

(a) Temperature-dependent lattice thermal conductivity

../../_images/fig_kappa_vs_grain_size3211.png

(b) Peierls lattice thermal conductivity w.r.t grain size

Phonon lifetime and scattering rates

../../_images/fig_lifetime3142.png

(a) Phonon lifetime due to phonon-phonon scattering

../../_images/fig_scat_rates3141.png

(b) Phonon scattering rates

Cumulative and spectral thermal conductivity

../../_images/fig_cumu_frequency3142.png

(a) Spectral and cumulative thermal conductivity w.r.t frequency

../../_images/fig_cumu_mfp3141.png

(b) Spectral and cumulative thermal conductivity w.r.t MFP

Force constants

../../_images/fig_fc27323.png

(a) Force constants w.r.t atomic distance

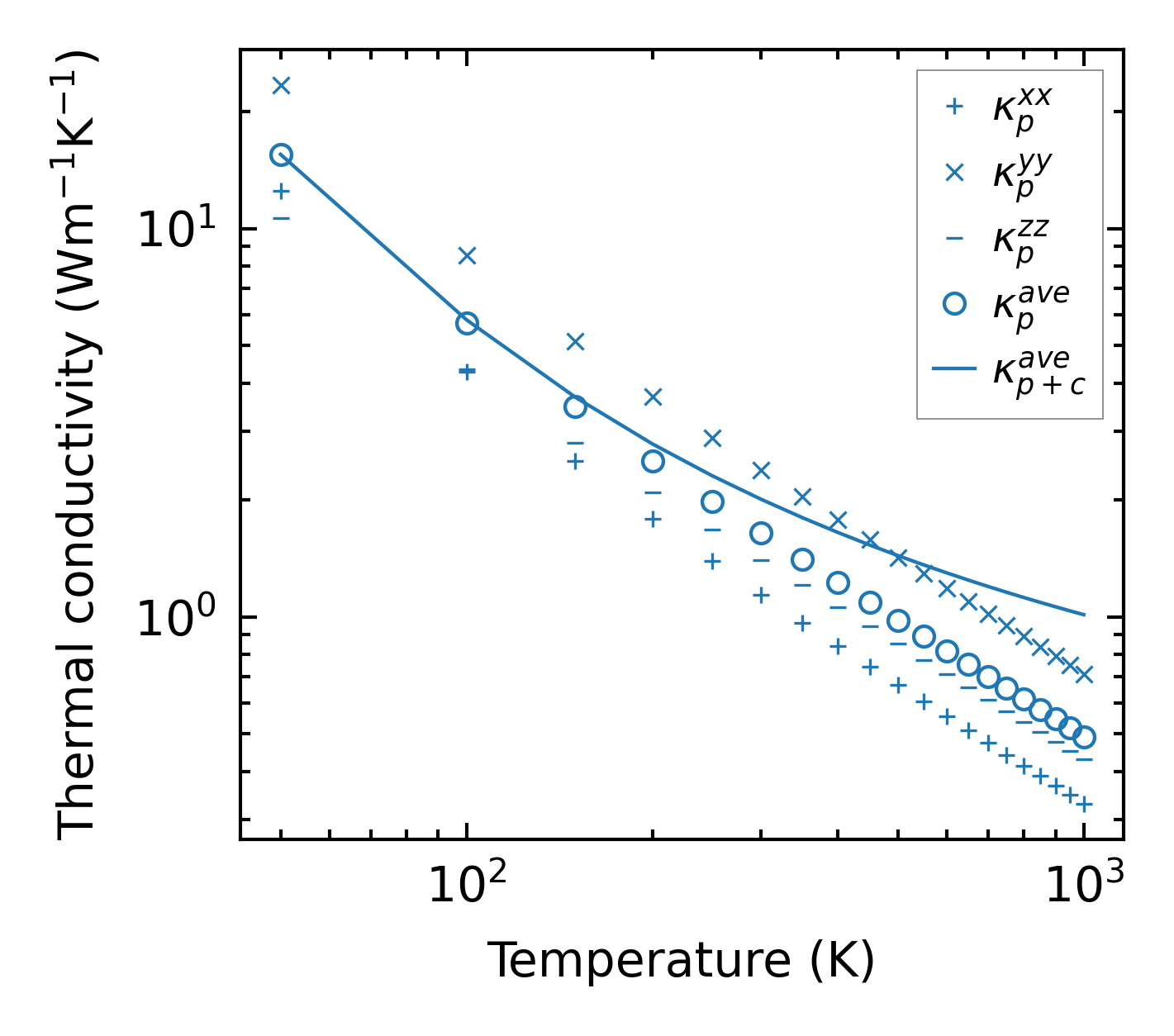
Summary

../../_images/fig_kappa6003.png

(a) Temperature-dependent lattice thermal conductivity

../../_images/fig_times13379.png

(b) Computation time