mp-560054-3/LuSBr/anharm

Harmonic properties

../../_images/fig_bandos_pr7748.png

(a) Phonon dispersion with participation ratio and DOS

../../_images/fig_thermo7748.png

(b) Thermodynamic properties

Grüneisen parameters

../../_images/fig_gru_all3236.png

(a) Grüneisen parameters

../../_images/fig_gruneisen3236.png

(b) Phonon dispersion with Grüneisen parameters

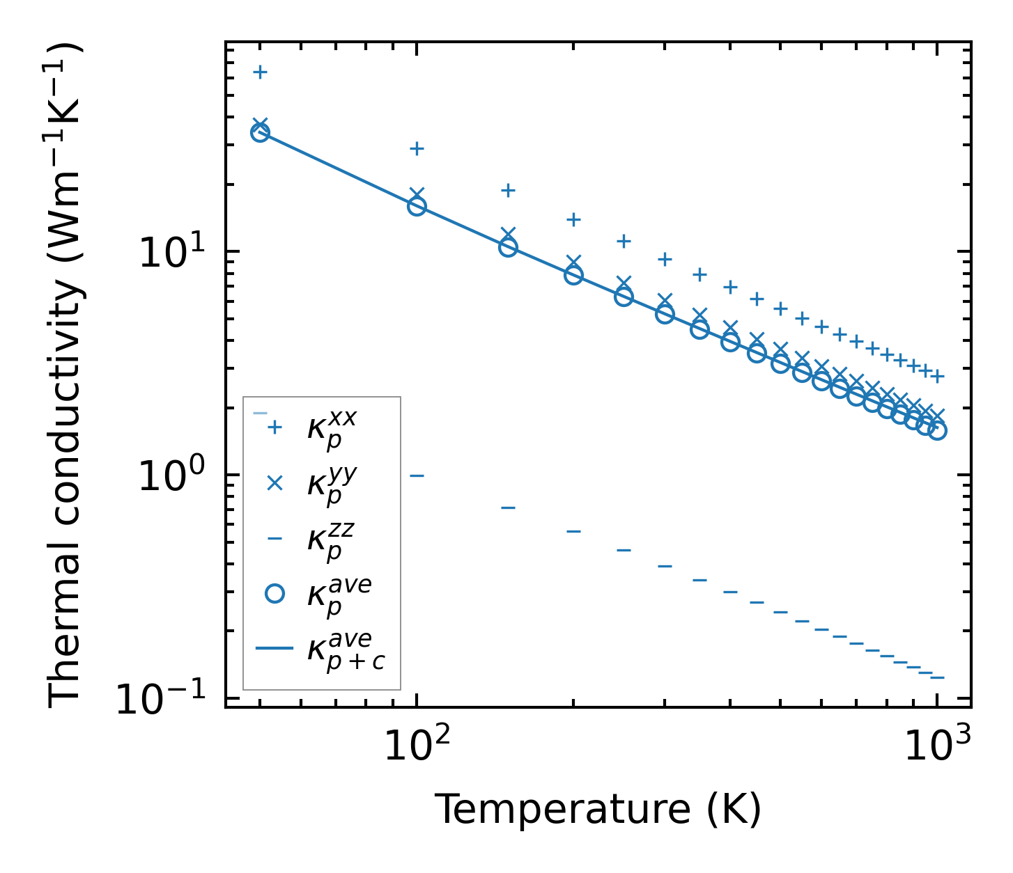
Thermal conductivity

3-phonon (LASSO) — q-mesh: 18x13x8, supercell: 4x3x2

../../_images/fig_kappa6129.png

(a) Temperature-dependent lattice thermal conductivity

../../_images/fig_kappa_vs_grain_size3278.png

(b) Peierls lattice thermal conductivity w.r.t grain size

Phonon lifetime and scattering rates

../../_images/fig_lifetime3208.png

(a) Phonon lifetime due to phonon-phonon scattering

../../_images/fig_scat_rates3207.png

(b) Phonon scattering rates

Cumulative and spectral thermal conductivity

../../_images/fig_cumu_frequency3208.png

(a) Spectral and cumulative thermal conductivity w.r.t frequency

../../_images/fig_cumu_mfp3207.png

(b) Spectral and cumulative thermal conductivity w.r.t MFP

Force constants

../../_images/fig_fc27511.png

(a) Force constants w.r.t atomic distance

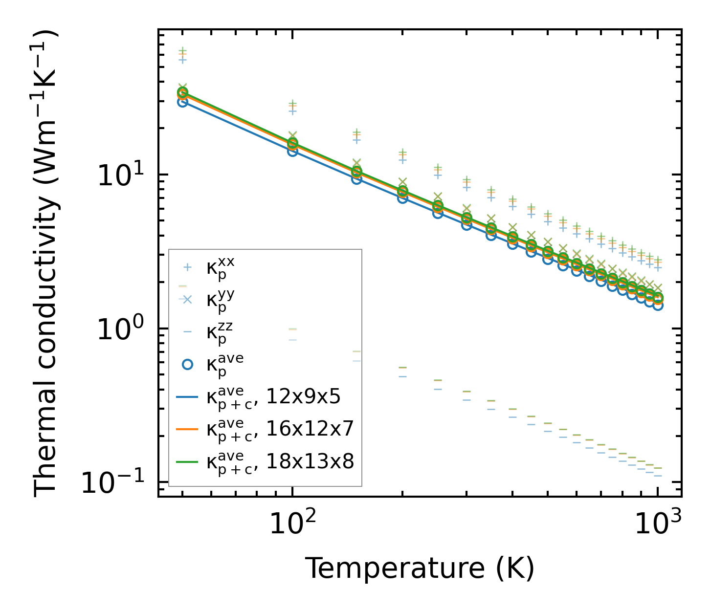
Summary

../../_images/fig_kappa6130.png

(a) Temperature-dependent lattice thermal conductivity

../../_images/fig_times13666.png

(b) Computation time