mp-560468-2/Pr3Si2S8Br/anharm

Harmonic properties

../../_images/fig_bandos_pr7499.png

(a) Phonon dispersion with participation ratio and DOS

../../_images/fig_thermo7499.png

(b) Thermodynamic properties

Grüneisen parameters

../../_images/fig_gru_all3140.png

(a) Grüneisen parameters

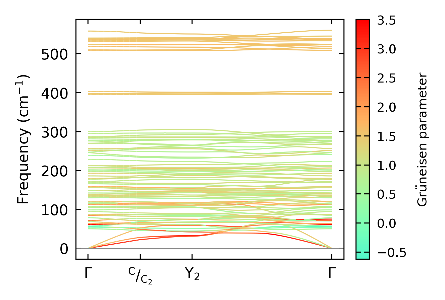
../../_images/fig_gruneisen3140.png

(b) Phonon dispersion with Grüneisen parameters

Thermal conductivity

3-phonon (LASSO) — q-mesh: 8x8x7, supercell: 1x2x1

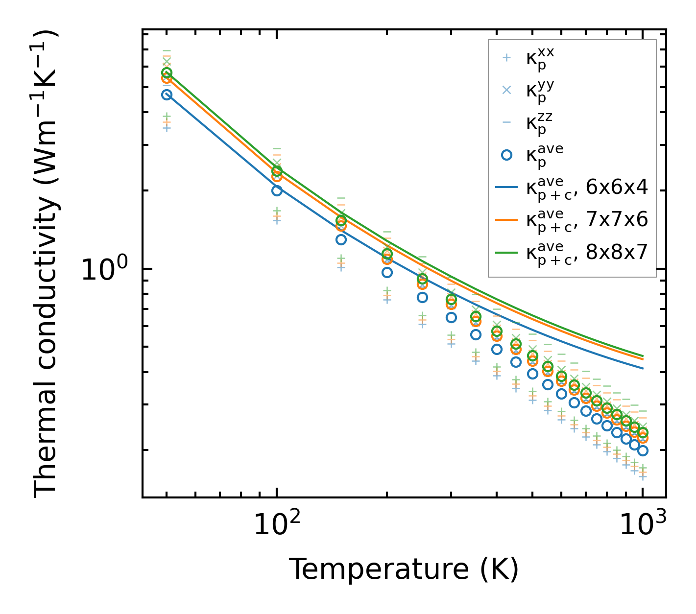
../../_images/fig_kappa5945.png

(a) Temperature-dependent lattice thermal conductivity

../../_images/fig_kappa_vs_grain_size3181.png

(b) Peierls lattice thermal conductivity w.r.t grain size

Phonon lifetime and scattering rates

../../_images/fig_lifetime3112.png

(a) Phonon lifetime due to phonon-phonon scattering

../../_images/fig_scat_rates3111.png

(b) Phonon scattering rates

Cumulative and spectral thermal conductivity

../../_images/fig_cumu_frequency3112.png

(a) Spectral and cumulative thermal conductivity w.r.t frequency

../../_images/fig_cumu_mfp3111.png

(b) Spectral and cumulative thermal conductivity w.r.t MFP

Force constants

../../_images/fig_fc27263.png

(a) Force constants w.r.t atomic distance

Summary

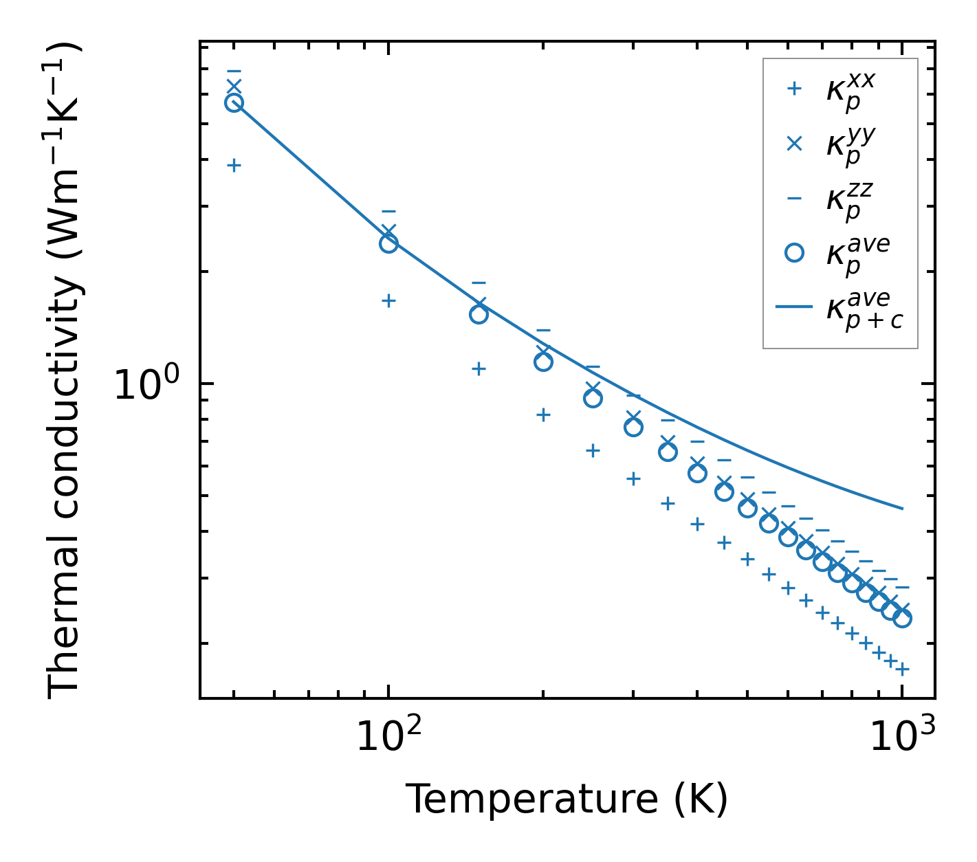
../../_images/fig_kappa5946.png

(a) Temperature-dependent lattice thermal conductivity

../../_images/fig_times13284.png

(b) Computation time