mp-560842/Cd2SiO4/anharm

Harmonic properties

../../_images/fig_bandos_pr7584.png

(a) Phonon dispersion with participation ratio and DOS

../../_images/fig_bandos10658.png

(b) Phonon dispersion and DOS

../../_images/fig_thermo7584.png

(c) Thermodynamic properties

Grüneisen parameters

../../_images/fig_gru_all3180.png

(a) Grüneisen parameters

../../_images/fig_gruneisen3180.png

(b) Phonon dispersion with Grüneisen parameters

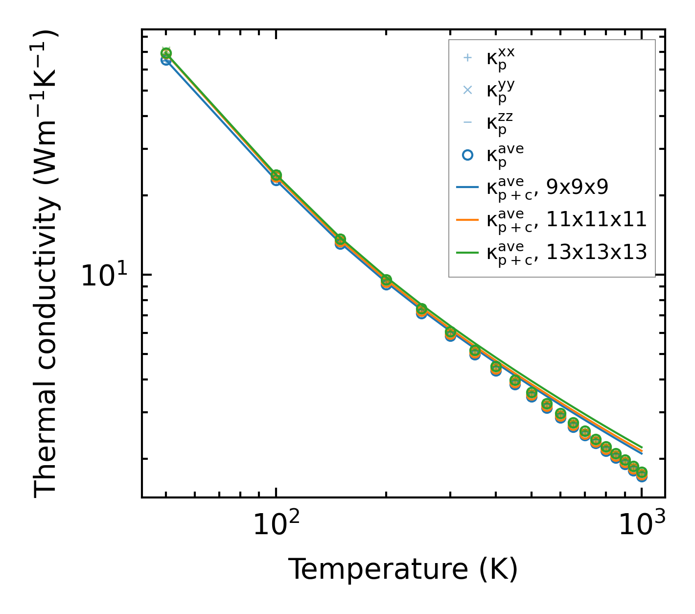
Thermal conductivity

3-phonon (LASSO) — q-mesh: 13x13x13, supercell: 1x1x1

../../_images/fig_kappa6021.png

(a) Temperature-dependent lattice thermal conductivity

../../_images/fig_kappa_vs_grain_size3221.png

(b) Peierls lattice thermal conductivity w.r.t grain size

Phonon lifetime and scattering rates

../../_images/fig_lifetime3152.png

(a) Phonon lifetime due to phonon-phonon scattering

../../_images/fig_scat_rates3151.png

(b) Phonon scattering rates

Cumulative and spectral thermal conductivity

../../_images/fig_cumu_frequency3152.png

(a) Spectral and cumulative thermal conductivity w.r.t frequency

../../_images/fig_cumu_mfp3151.png

(b) Spectral and cumulative thermal conductivity w.r.t MFP

Force constants

../../_images/fig_fc27347.png

(a) Force constants w.r.t atomic distance

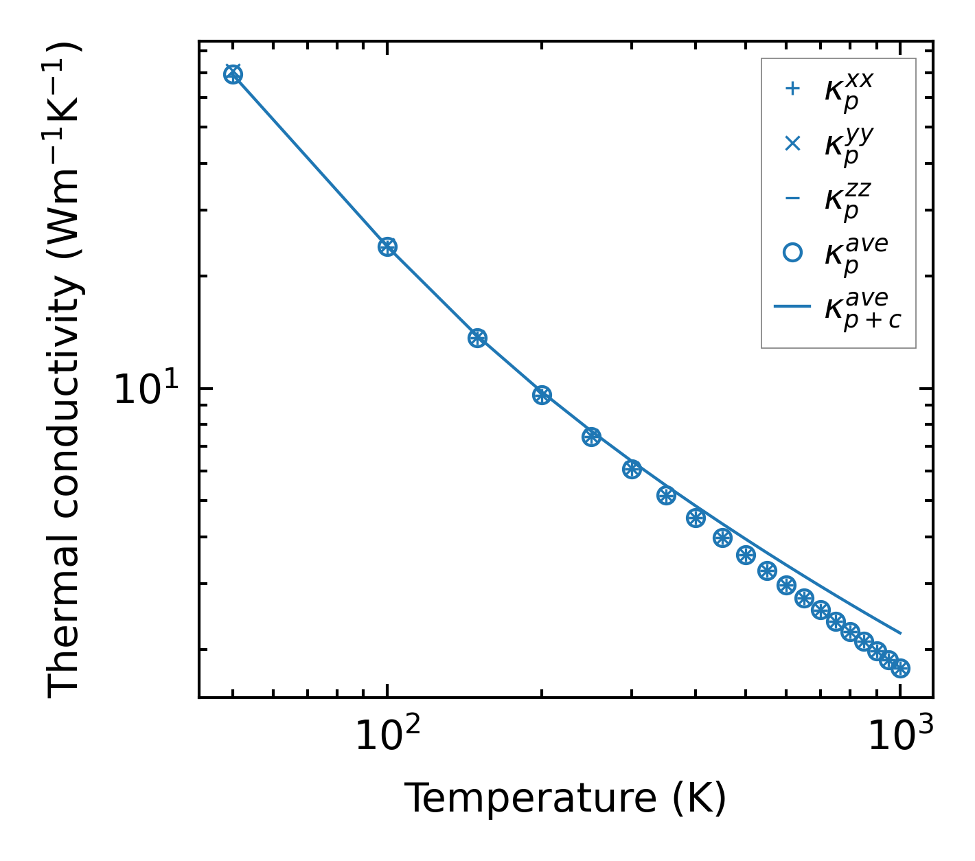
Summary

../../_images/fig_kappa6022.png

(a) Temperature-dependent lattice thermal conductivity

../../_images/fig_times13416.png

(b) Computation time