mp-560831-2/Na6P4Pb3S16/harm

Harmonic properties

../../_images/fig_bandos_pr7582.png

(a) Phonon dispersion with participation ratio and DOS

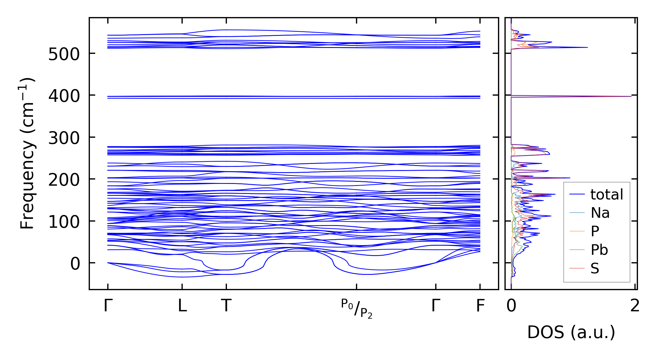
../../_images/fig_bandos10655.png

(b) Phonon dispersion and DOS

../../_images/fig_thermo7582.png

(c) Thermodynamic properties

Force constants

../../_images/fig_fc27345.png

(a) Force constants w.r.t atomic distance

Summary

../../_images/fig_times13413.png

(a) Computation time