mp-560558/CsCdAuS2/anharm

Harmonic properties

../../_images/fig_bandos_pr7516.png

(a) Phonon dispersion with participation ratio and DOS

../../_images/fig_thermo7516.png

(b) Thermodynamic properties

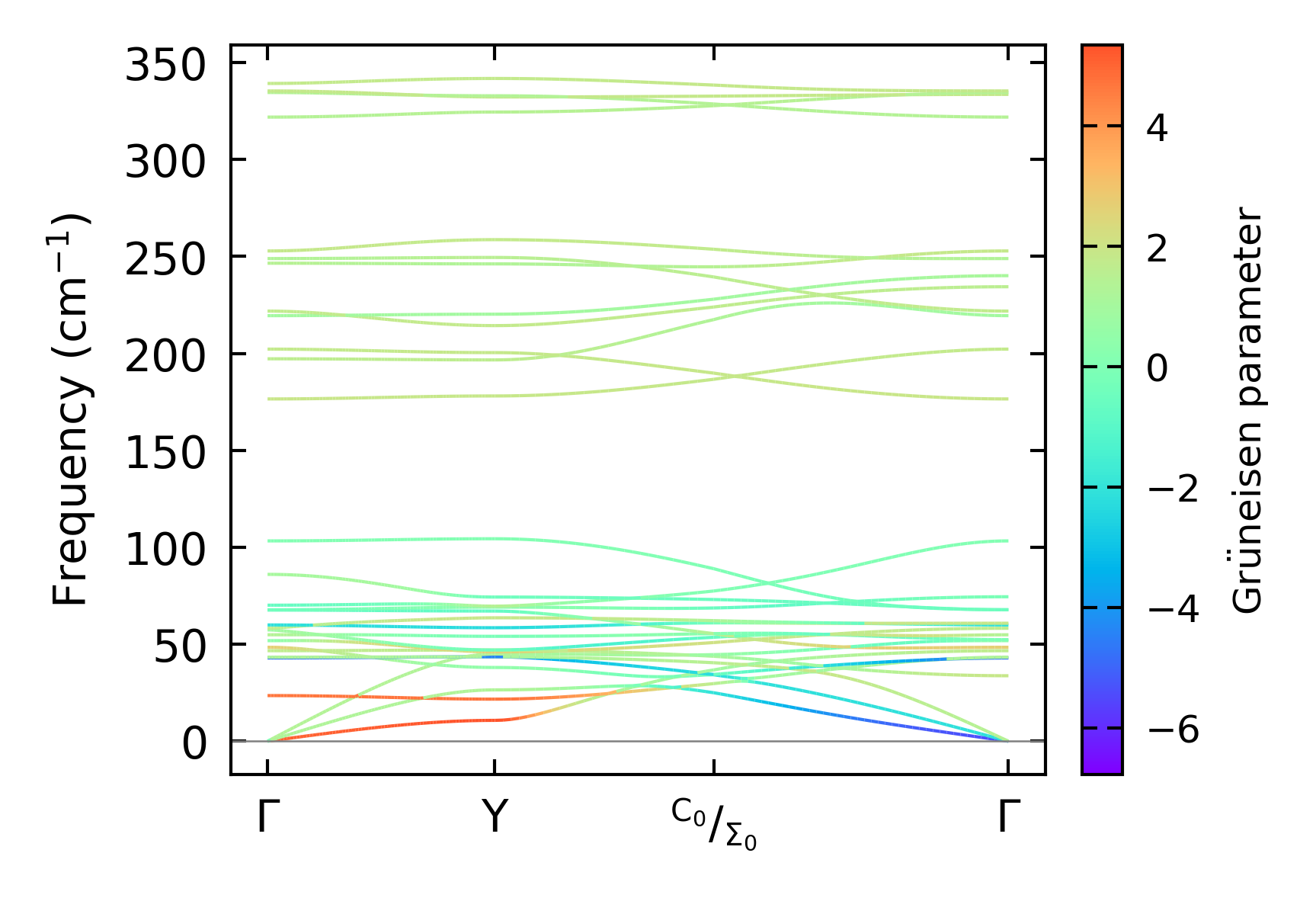
Grüneisen parameters

../../_images/fig_gru_all3149.png

(a) Grüneisen parameters

../../_images/fig_gruneisen3149.png

(b) Phonon dispersion with Grüneisen parameters

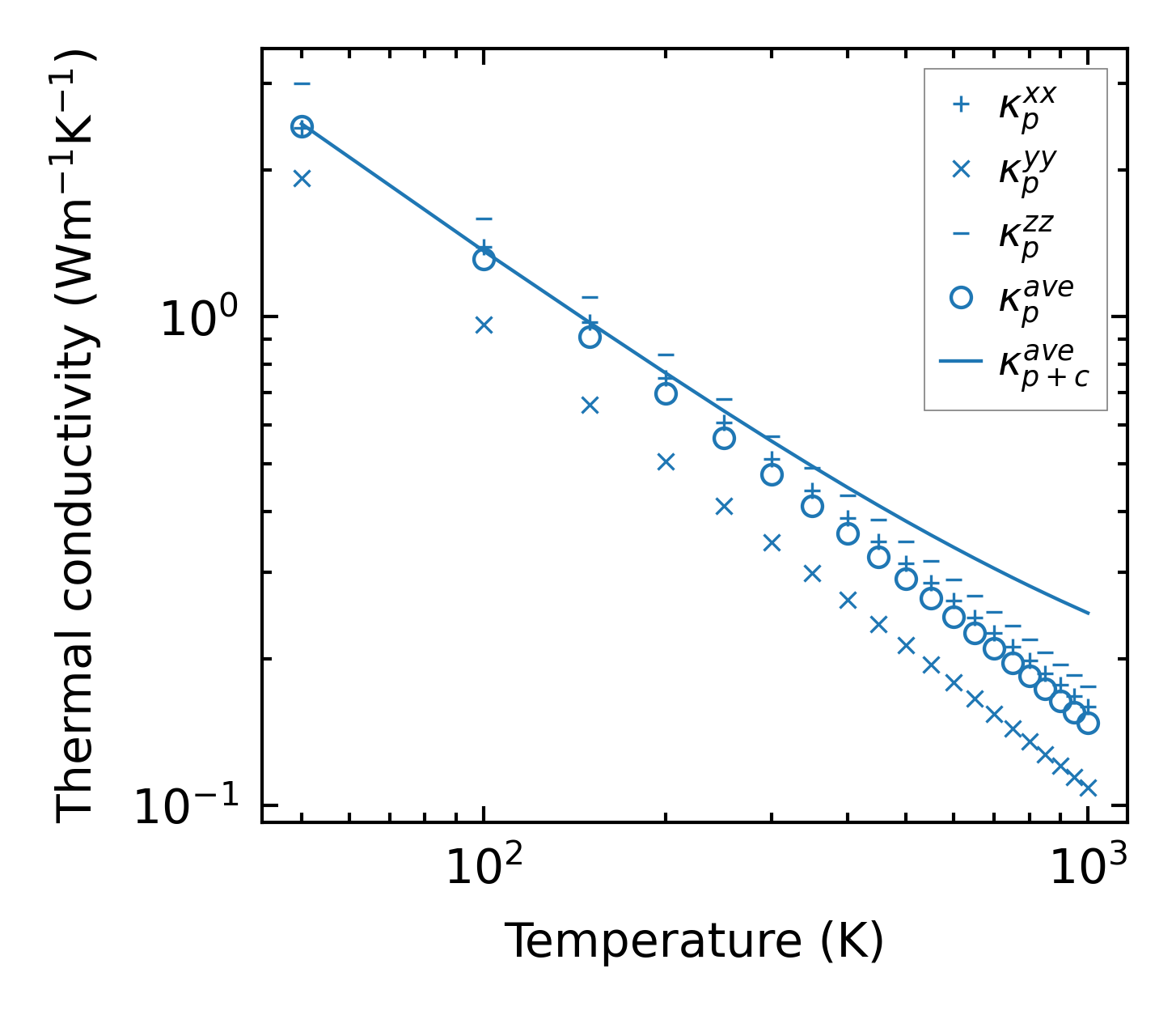
Thermal conductivity

3-phonon (LASSO) — q-mesh: 10x10x12, supercell: 2x1x3

../../_images/fig_kappa5962.png

(a) Temperature-dependent lattice thermal conductivity

../../_images/fig_kappa_vs_grain_size3190.png

(b) Peierls lattice thermal conductivity w.r.t grain size

Phonon lifetime and scattering rates

../../_images/fig_lifetime3121.png

(a) Phonon lifetime due to phonon-phonon scattering

../../_images/fig_scat_rates3120.png

(b) Phonon scattering rates

Cumulative and spectral thermal conductivity

../../_images/fig_cumu_frequency3121.png

(a) Spectral and cumulative thermal conductivity w.r.t frequency

../../_images/fig_cumu_mfp3120.png

(b) Spectral and cumulative thermal conductivity w.r.t MFP

Force constants

../../_images/fig_fc27280.png

(a) Force constants w.r.t atomic distance

Summary

../../_images/fig_kappa5963.png

(a) Temperature-dependent lattice thermal conductivity

../../_images/fig_times13308.png

(b) Computation time