mp-560641/Ba12Cl5F19/anharm

Harmonic properties

../../_images/fig_bandos_pr7541.png

(a) Phonon dispersion with participation ratio and DOS

../../_images/fig_thermo7541.png

(b) Thermodynamic properties

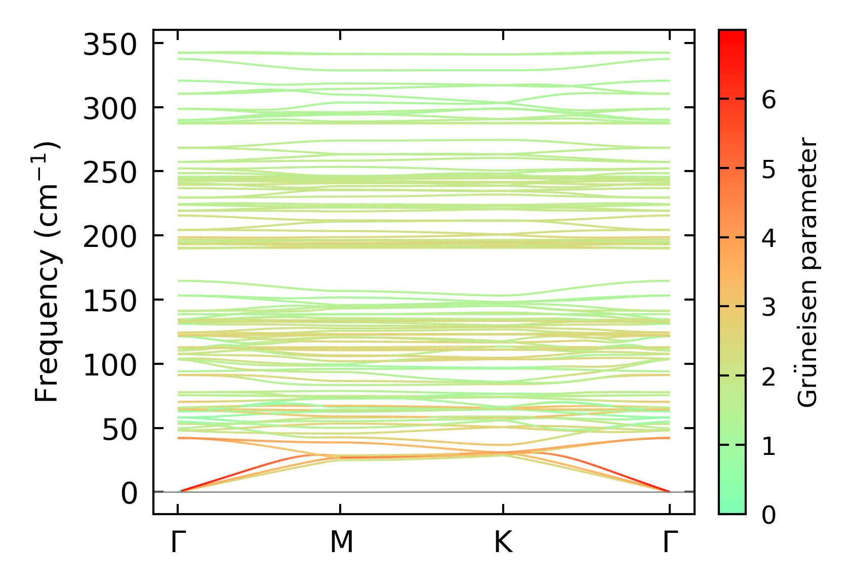
Grüneisen parameters

../../_images/fig_gru_all3164.png

(a) Grüneisen parameters

../../_images/fig_gruneisen3164.png

(b) Phonon dispersion with Grüneisen parameters

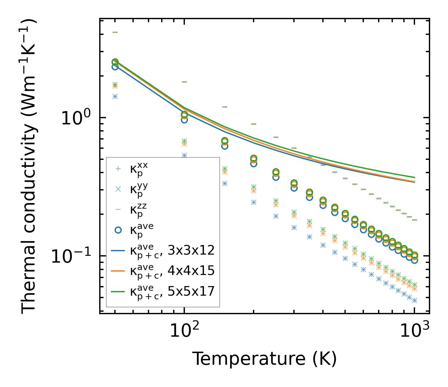
Thermal conductivity

3-phonon (LASSO) — q-mesh: 5x5x17, supercell: 1x1x4

../../_images/fig_kappa5991.png

(a) Temperature-dependent lattice thermal conductivity

../../_images/fig_kappa_vs_grain_size3205.png

(b) Peierls lattice thermal conductivity w.r.t grain size

Phonon lifetime and scattering rates

../../_images/fig_lifetime3136.png

(a) Phonon lifetime due to phonon-phonon scattering

../../_images/fig_scat_rates3135.png

(b) Phonon scattering rates

Cumulative and spectral thermal conductivity

../../_images/fig_cumu_frequency3136.png

(a) Spectral and cumulative thermal conductivity w.r.t frequency

../../_images/fig_cumu_mfp3135.png

(b) Spectral and cumulative thermal conductivity w.r.t MFP

Force constants

../../_images/fig_fc27305.png

(a) Force constants w.r.t atomic distance

Summary

../../_images/fig_kappa5992.png

(a) Temperature-dependent lattice thermal conductivity

../../_images/fig_times13349.png

(b) Computation time