mp-560635/Cs2MoS4/anharm

Harmonic properties

../../_images/fig_bandos_pr7538.png

(a) Phonon dispersion with participation ratio and DOS

../../_images/fig_thermo7538.png

(b) Thermodynamic properties

Grüneisen parameters

../../_images/fig_gru_all3162.png

(a) Grüneisen parameters

../../_images/fig_gruneisen3162.png

(b) Phonon dispersion with Grüneisen parameters

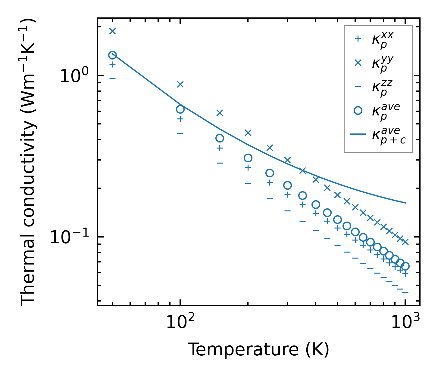
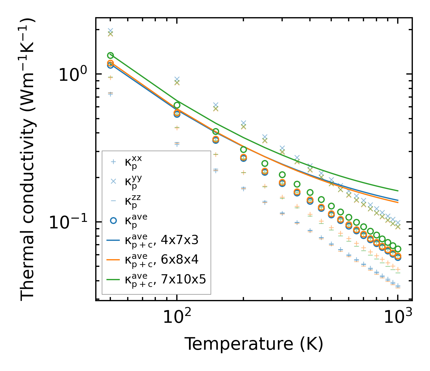
Thermal conductivity

3-phonon (LASSO) — q-mesh: 7x10x5, supercell: 2x2x1

../../_images/fig_kappa5988.png

(a) Temperature-dependent lattice thermal conductivity

../../_images/fig_kappa_vs_grain_size3203.png

(b) Peierls lattice thermal conductivity w.r.t grain size

Phonon lifetime and scattering rates

../../_images/fig_lifetime3134.png

(a) Phonon lifetime due to phonon-phonon scattering

../../_images/fig_scat_rates3133.png

(b) Phonon scattering rates

Cumulative and spectral thermal conductivity

../../_images/fig_cumu_frequency3134.png

(a) Spectral and cumulative thermal conductivity w.r.t frequency

../../_images/fig_cumu_mfp3133.png

(b) Spectral and cumulative thermal conductivity w.r.t MFP

Force constants

../../_images/fig_fc27302.png

(a) Force constants w.r.t atomic distance

Summary

../../_images/fig_kappa5989.png

(a) Temperature-dependent lattice thermal conductivity

../../_images/fig_times13346.png

(b) Computation time