mp-560591/NaTi2Al5O12/anharm

Harmonic properties

../../_images/fig_bandos_pr7526.png

(a) Phonon dispersion with participation ratio and DOS

../../_images/fig_thermo7526.png

(b) Thermodynamic properties

Grüneisen parameters

../../_images/fig_gru_all3156.png

(a) Grüneisen parameters

../../_images/fig_gruneisen3156.png

(b) Phonon dispersion with Grüneisen parameters

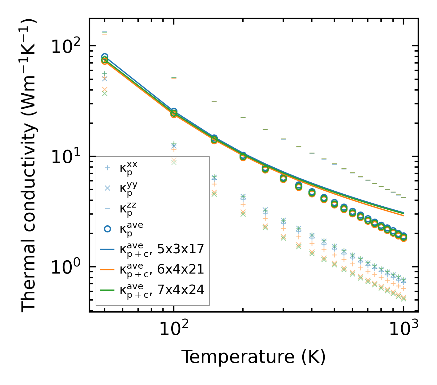
Thermal conductivity

3-phonon (LASSO) — q-mesh: 7x4x24, supercell: 1x1x3

../../_images/fig_kappa5976.png

(a) Temperature-dependent lattice thermal conductivity

../../_images/fig_kappa_vs_grain_size3197.png

(b) Peierls lattice thermal conductivity w.r.t grain size

Phonon lifetime and scattering rates

../../_images/fig_lifetime3128.png

(a) Phonon lifetime due to phonon-phonon scattering

../../_images/fig_scat_rates3127.png

(b) Phonon scattering rates

Cumulative and spectral thermal conductivity

../../_images/fig_cumu_frequency3128.png

(a) Spectral and cumulative thermal conductivity w.r.t frequency

../../_images/fig_cumu_mfp3127.png

(b) Spectral and cumulative thermal conductivity w.r.t MFP

Force constants

../../_images/fig_fc27290.png

(a) Force constants w.r.t atomic distance

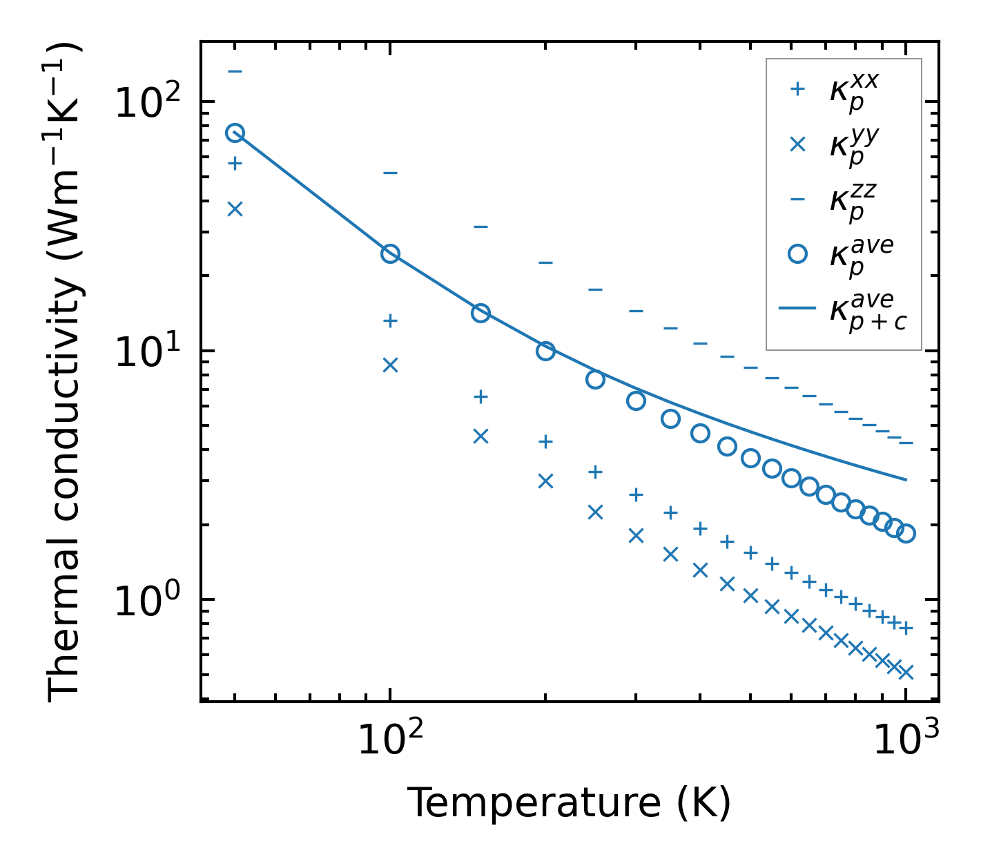
Summary

../../_images/fig_kappa5977.png

(a) Temperature-dependent lattice thermal conductivity

../../_images/fig_times13327.png

(b) Computation time