mp-560068-2/Na3NO4/anharm

Equation of state

../../_images/fig_bm4009.png

(a) Equation of state

Harmonic properties

../../_images/fig_bandos_pr7751.png

(a) Phonon dispersion with participation ratio and DOS

../../_images/fig_bandos10871.png

(b) Phonon dispersion and DOS

../../_images/fig_thermo7751.png

(c) Thermodynamic properties

Grüneisen parameters

../../_images/fig_gru_all3237.png

(a) Grüneisen parameters

../../_images/fig_gruneisen3237.png

(b) Phonon dispersion with Grüneisen parameters

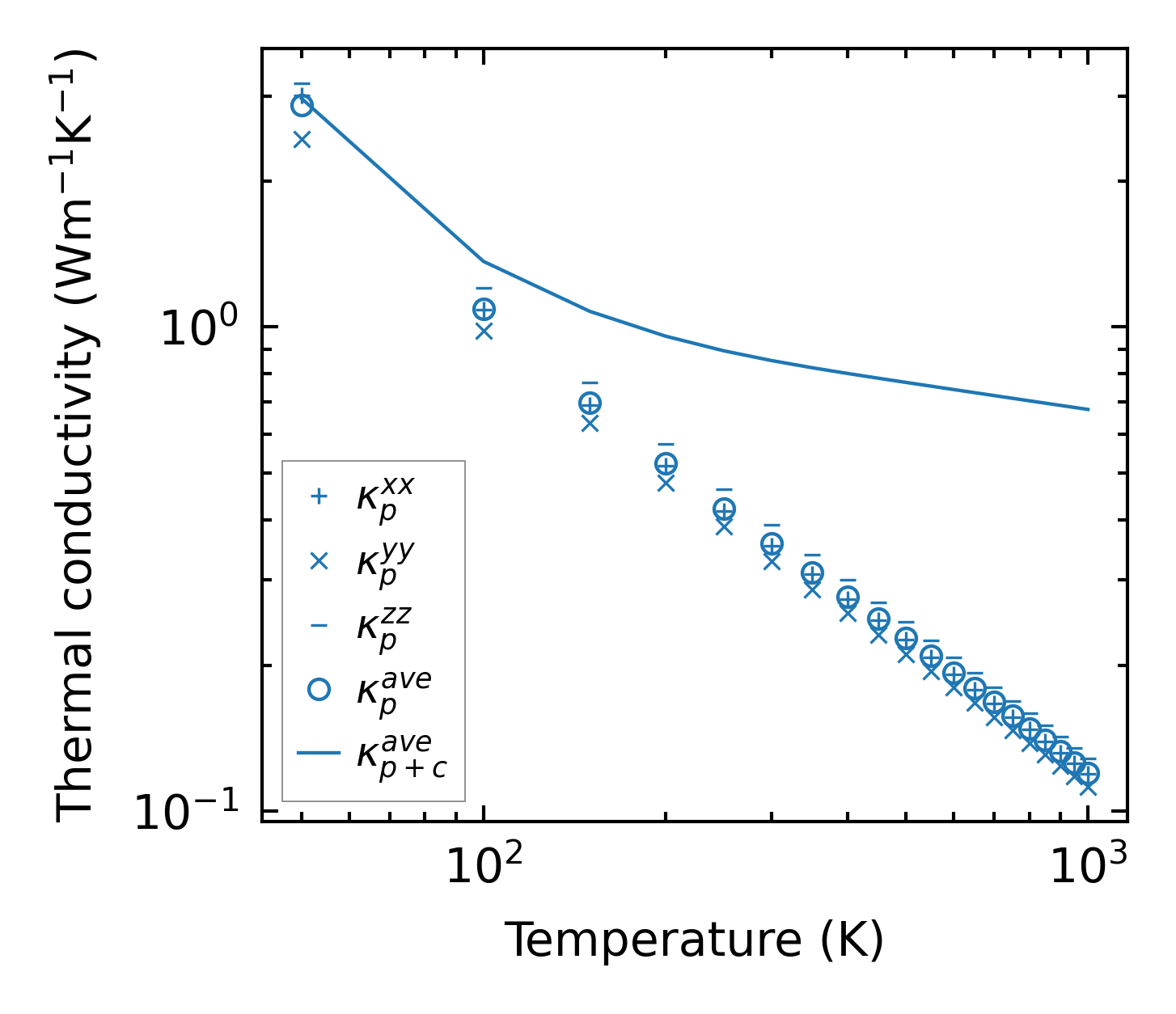
Thermal conductivity

3-phonon (LASSO) — q-mesh: 8x7x7, supercell: 2x1x1

../../_images/fig_kappa6131.png

(a) Temperature-dependent lattice thermal conductivity

../../_images/fig_kappa_vs_grain_size3279.png

(b) Peierls lattice thermal conductivity w.r.t grain size

Phonon lifetime and scattering rates

../../_images/fig_lifetime3209.png

(a) Phonon lifetime due to phonon-phonon scattering

../../_images/fig_scat_rates3208.png

(b) Phonon scattering rates

Cumulative and spectral thermal conductivity

../../_images/fig_cumu_frequency3209.png

(a) Spectral and cumulative thermal conductivity w.r.t frequency

../../_images/fig_cumu_mfp3208.png

(b) Spectral and cumulative thermal conductivity w.r.t MFP

Force constants

../../_images/fig_fc27514.png

(a) Force constants w.r.t atomic distance

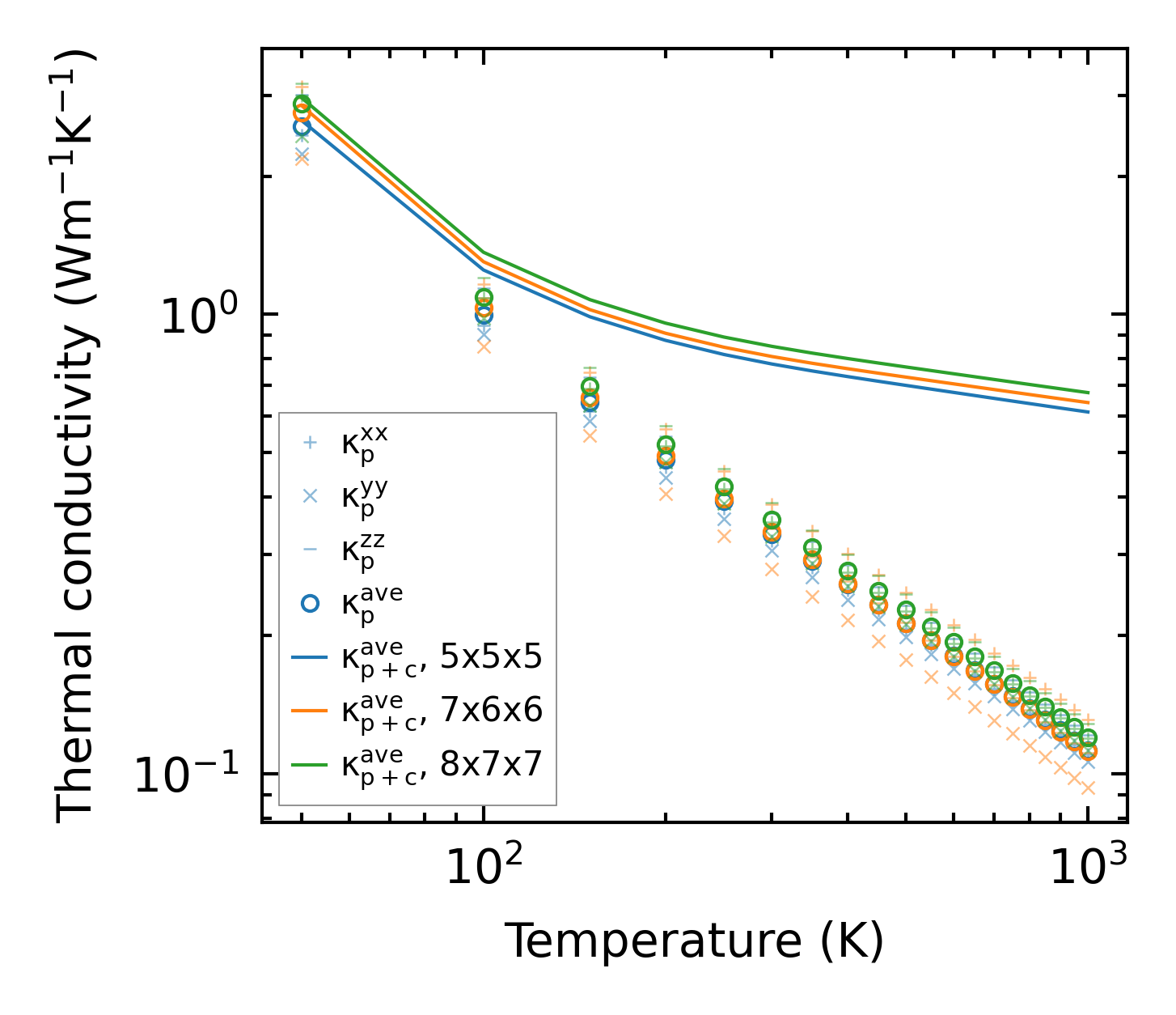
Summary

../../_images/fig_kappa6132.png

(a) Temperature-dependent lattice thermal conductivity

../../_images/fig_times13671.png

(b) Computation time