mp-560445-2/SrEr2O4/anharm

Equation of state

../../_images/fig_bm3937.png

(a) Equation of state

Harmonic properties

../../_images/fig_bandos_pr7495.png

(a) Phonon dispersion with participation ratio and DOS

../../_images/fig_bandos10557.png

(b) Phonon dispersion and DOS

../../_images/fig_thermo7495.png

(c) Thermodynamic properties

Grüneisen parameters

../../_images/fig_gru_all3138.png

(a) Grüneisen parameters

../../_images/fig_gruneisen3138.png

(b) Phonon dispersion with Grüneisen parameters

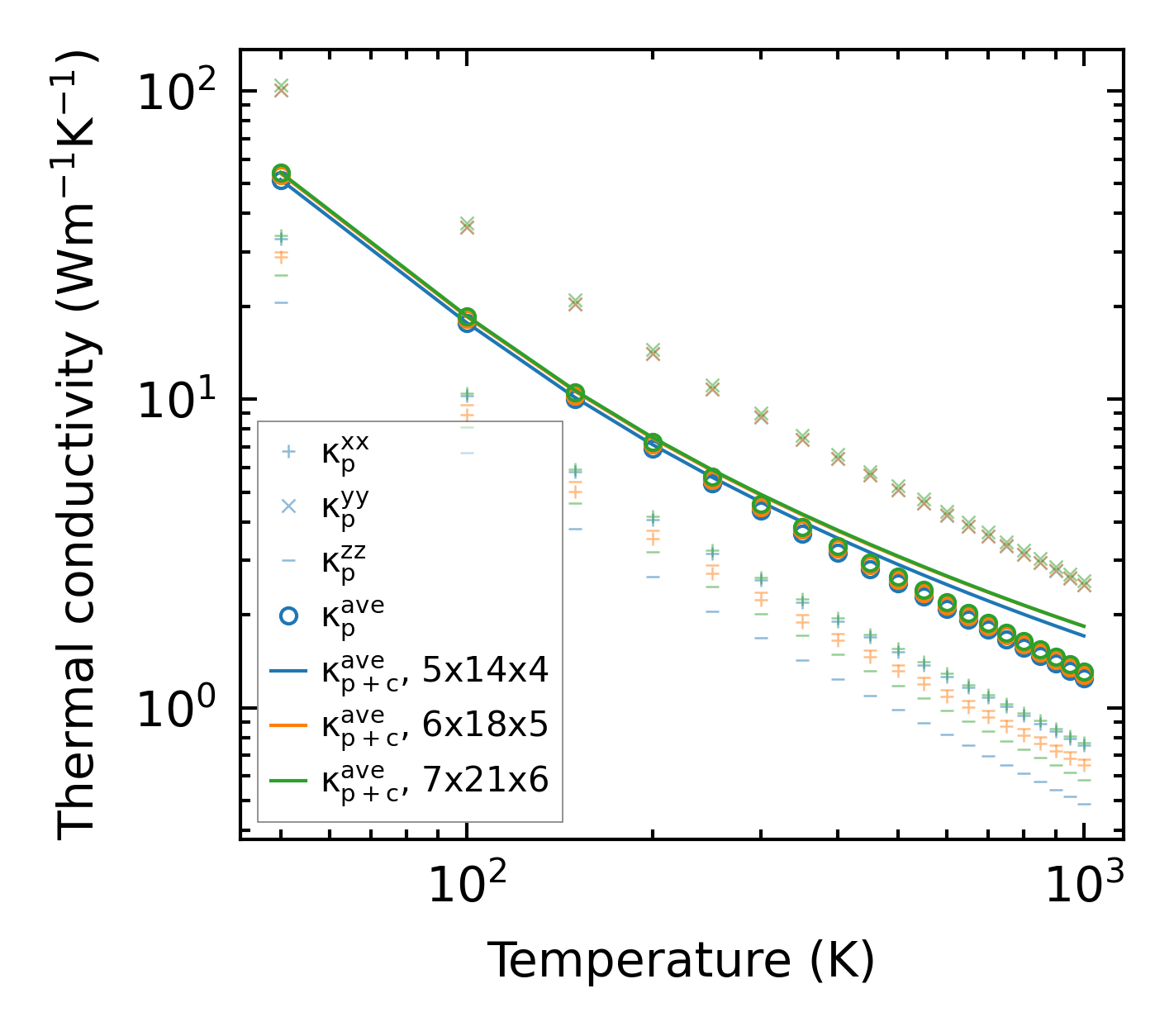
Thermal conductivity

3-phonon (LASSO) — q-mesh: 7x21x6, supercell: 1x3x1

../../_images/fig_kappa5941.png

(a) Temperature-dependent lattice thermal conductivity

../../_images/fig_kappa_vs_grain_size3179.png

(b) Peierls lattice thermal conductivity w.r.t grain size

Phonon lifetime and scattering rates

../../_images/fig_lifetime3110.png

(a) Phonon lifetime due to phonon-phonon scattering

../../_images/fig_scat_rates3109.png

(b) Phonon scattering rates

Cumulative and spectral thermal conductivity

../../_images/fig_cumu_frequency3110.png

(a) Spectral and cumulative thermal conductivity w.r.t frequency

../../_images/fig_cumu_mfp3109.png

(b) Spectral and cumulative thermal conductivity w.r.t MFP

Force constants

../../_images/fig_fc27259.png

(a) Force constants w.r.t atomic distance

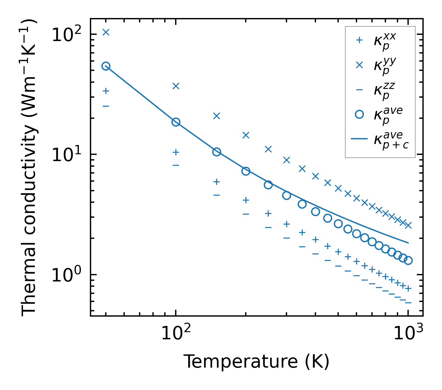
Summary

../../_images/fig_kappa5942.png

(a) Temperature-dependent lattice thermal conductivity

../../_images/fig_times13278.png

(b) Computation time