mp-560740/La2SnS3O2/anharm

Harmonic properties

../../_images/fig_bandos_pr7560.png

(a) Phonon dispersion with participation ratio and DOS

../../_images/fig_thermo7560.png

(b) Thermodynamic properties

Grüneisen parameters

../../_images/fig_gru_all3171.png

(a) Grüneisen parameters

../../_images/fig_gruneisen3171.png

(b) Phonon dispersion with Grüneisen parameters

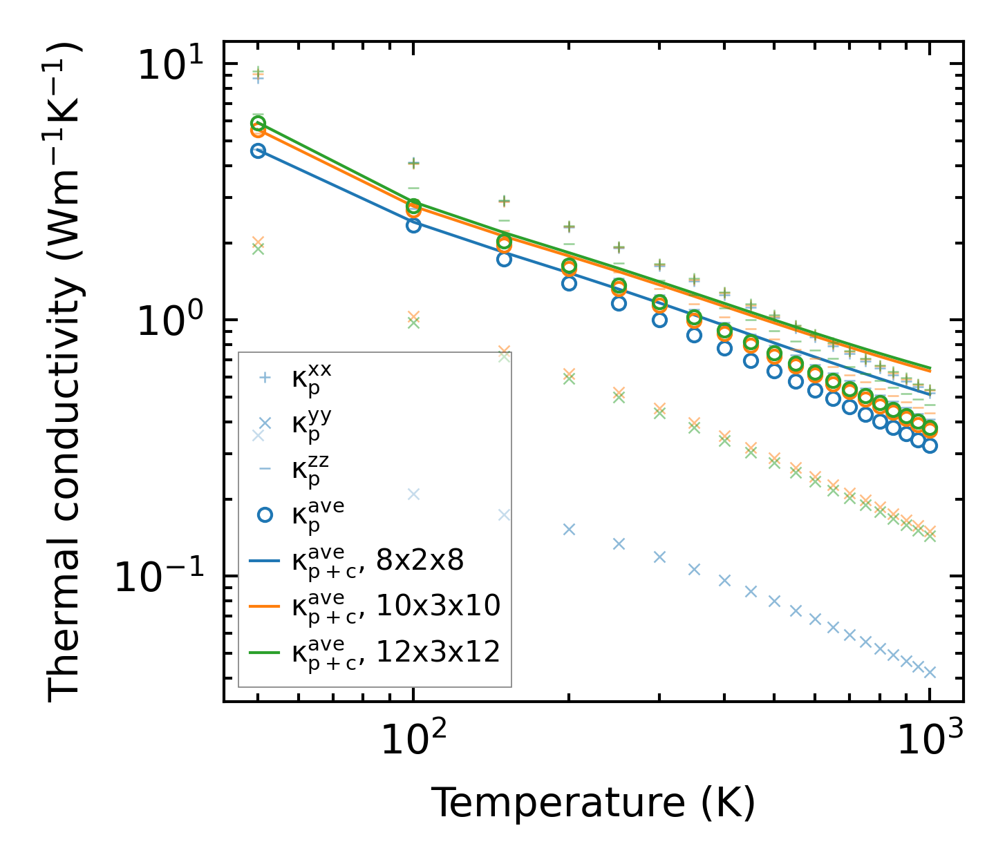
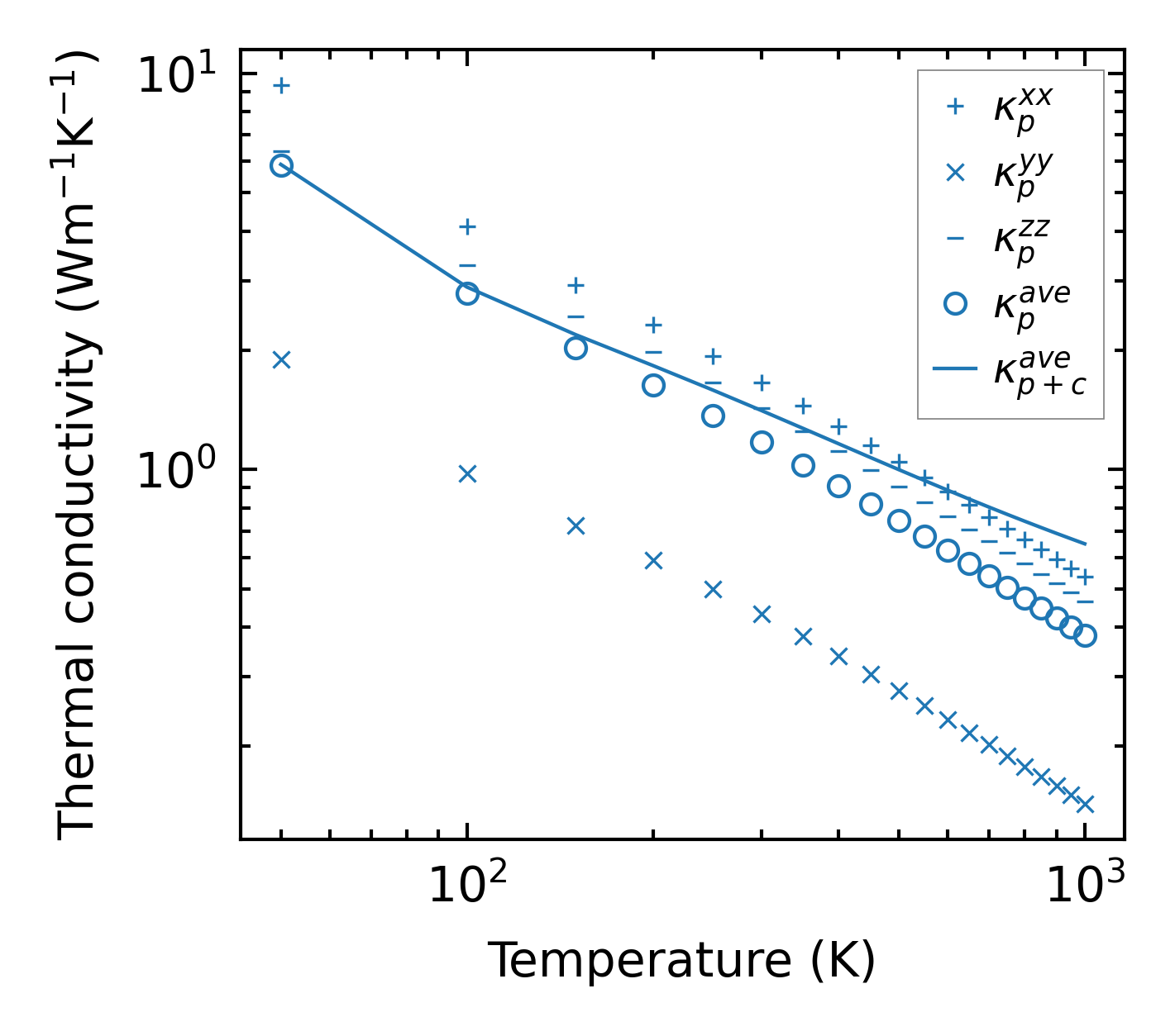
Thermal conductivity

3-phonon (LASSO) — q-mesh: 12x3x12, supercell: 2x1x2

../../_images/fig_kappa6004.png

(a) Temperature-dependent lattice thermal conductivity

../../_images/fig_kappa_vs_grain_size3212.png

(b) Peierls lattice thermal conductivity w.r.t grain size

Phonon lifetime and scattering rates

../../_images/fig_lifetime3143.png

(a) Phonon lifetime due to phonon-phonon scattering

../../_images/fig_scat_rates3142.png

(b) Phonon scattering rates

Cumulative and spectral thermal conductivity

../../_images/fig_cumu_frequency3143.png

(a) Spectral and cumulative thermal conductivity w.r.t frequency

../../_images/fig_cumu_mfp3142.png

(b) Spectral and cumulative thermal conductivity w.r.t MFP

Force constants

../../_images/fig_fc27324.png

(a) Force constants w.r.t atomic distance

Summary

../../_images/fig_kappa6005.png

(a) Temperature-dependent lattice thermal conductivity

../../_images/fig_times13380.png

(b) Computation time