mp-560785/K2Y4Sn2S11/anharm

Harmonic properties

../../_images/fig_bandos_pr7565.png

(a) Phonon dispersion with participation ratio and DOS

../../_images/fig_thermo7565.png

(b) Thermodynamic properties

Grüneisen parameters

../../_images/fig_gru_all3172.png

(a) Grüneisen parameters

../../_images/fig_gruneisen3172.png

(b) Phonon dispersion with Grüneisen parameters

Thermal conductivity

3-phonon (LASSO) — q-mesh: 8x8x2, supercell: 1x1x1

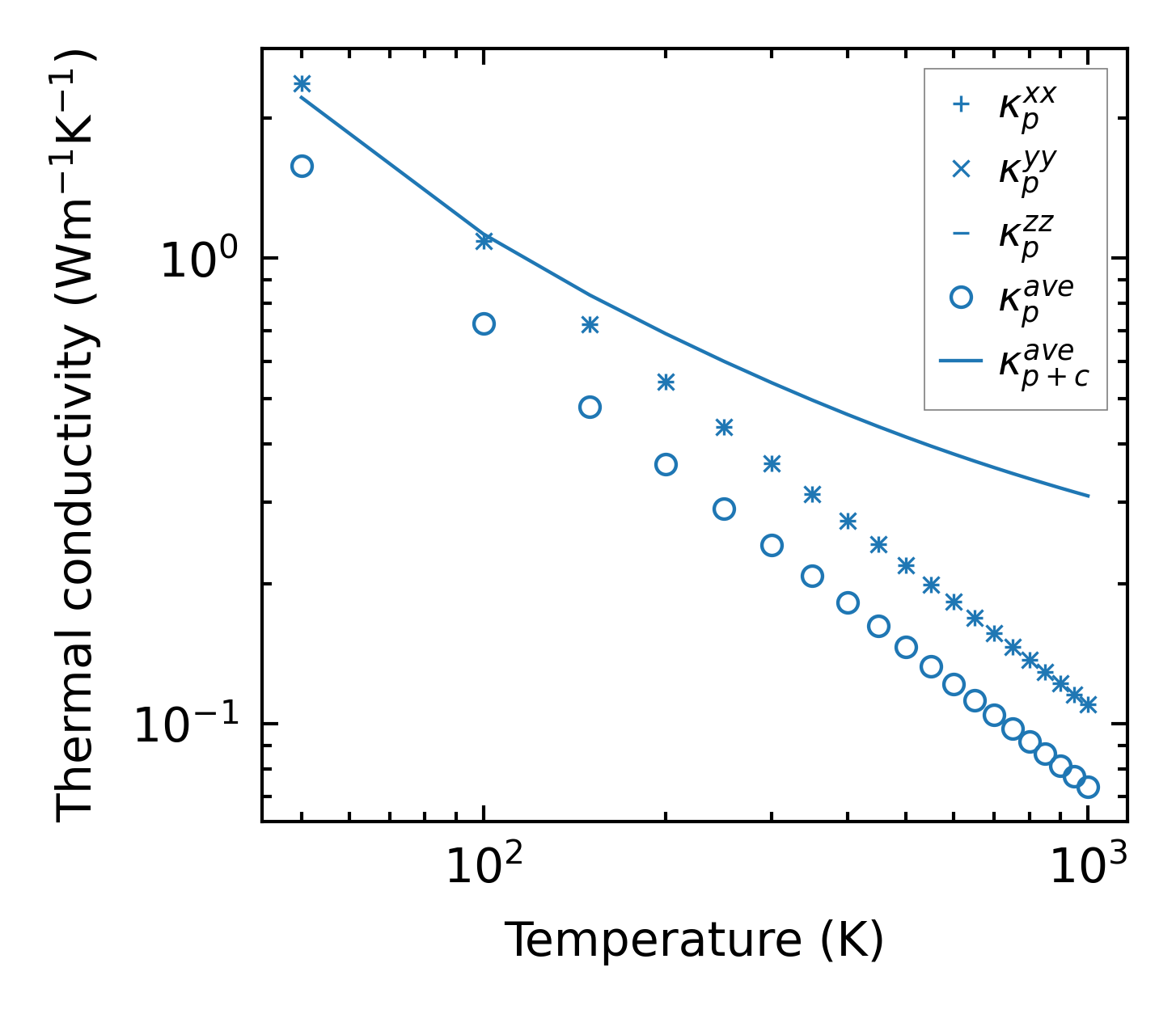
../../_images/fig_kappa6006.png

(a) Temperature-dependent lattice thermal conductivity

../../_images/fig_kappa_vs_grain_size3213.png

(b) Peierls lattice thermal conductivity w.r.t grain size

Phonon lifetime and scattering rates

../../_images/fig_lifetime3144.png

(a) Phonon lifetime due to phonon-phonon scattering

../../_images/fig_scat_rates3143.png

(b) Phonon scattering rates

Cumulative and spectral thermal conductivity

../../_images/fig_cumu_frequency3144.png

(a) Spectral and cumulative thermal conductivity w.r.t frequency

../../_images/fig_cumu_mfp3143.png

(b) Spectral and cumulative thermal conductivity w.r.t MFP

Force constants

../../_images/fig_fc27329.png

(a) Force constants w.r.t atomic distance

Summary

../../_images/fig_kappa6007.png

(a) Temperature-dependent lattice thermal conductivity

../../_images/fig_times13394.png

(b) Computation time