mp-560818/Sr5B3O9F/anharm

Harmonic properties

../../_images/fig_bandos_pr7573.png

(a) Phonon dispersion with participation ratio and DOS

../../_images/fig_thermo7573.png

(b) Thermodynamic properties

Grüneisen parameters

../../_images/fig_gru_all3177.png

(a) Grüneisen parameters

../../_images/fig_gruneisen3177.png

(b) Phonon dispersion with Grüneisen parameters

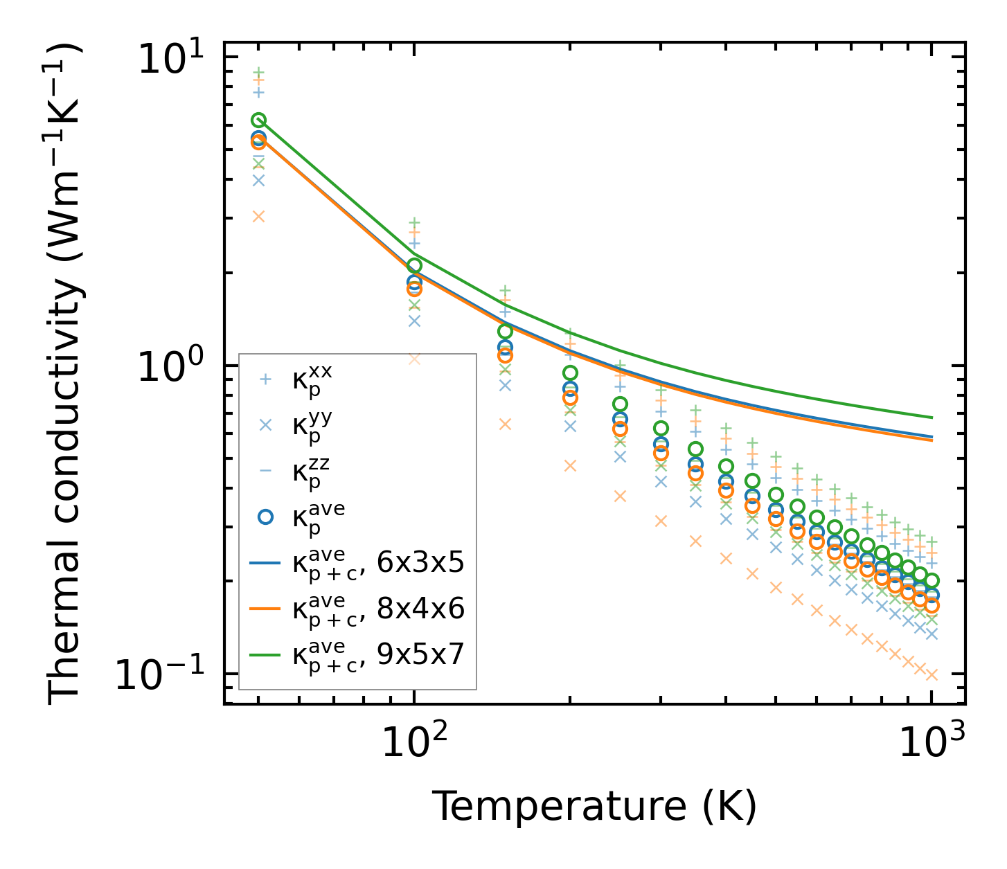
Thermal conductivity

3-phonon (LASSO) — q-mesh: 9x5x7, supercell: 2x1x1

../../_images/fig_kappa6016.png

(a) Temperature-dependent lattice thermal conductivity

../../_images/fig_kappa_vs_grain_size3218.png

(b) Peierls lattice thermal conductivity w.r.t grain size

Phonon lifetime and scattering rates

../../_images/fig_lifetime3149.png

(a) Phonon lifetime due to phonon-phonon scattering

../../_images/fig_scat_rates3148.png

(b) Phonon scattering rates

Cumulative and spectral thermal conductivity

../../_images/fig_cumu_frequency3149.png

(a) Spectral and cumulative thermal conductivity w.r.t frequency

../../_images/fig_cumu_mfp3148.png

(b) Spectral and cumulative thermal conductivity w.r.t MFP

Force constants

../../_images/fig_fc27336.png

(a) Force constants w.r.t atomic distance

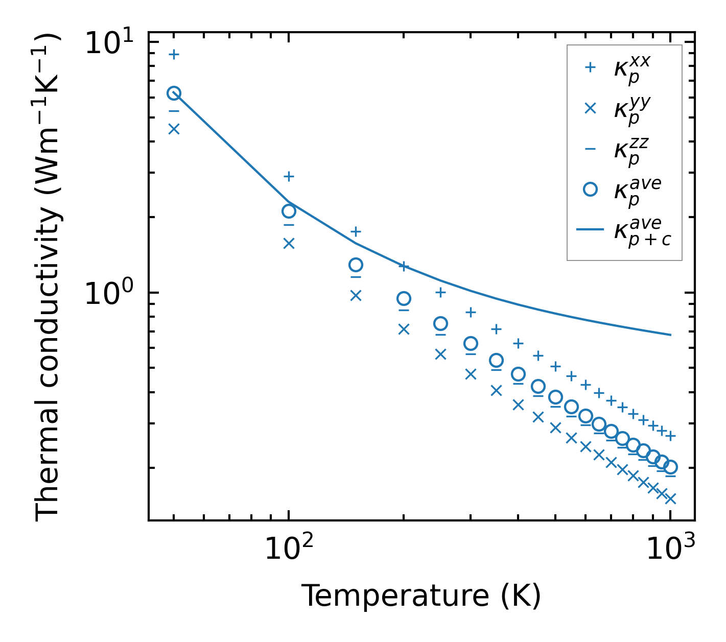
Summary

../../_images/fig_kappa6017.png

(a) Temperature-dependent lattice thermal conductivity

../../_images/fig_times13404.png

(b) Computation time