mp-560977/KTiPS5/harm

Harmonic properties

../../_images/fig_bandos_pr7612.png

(a) Phonon dispersion with participation ratio and DOS

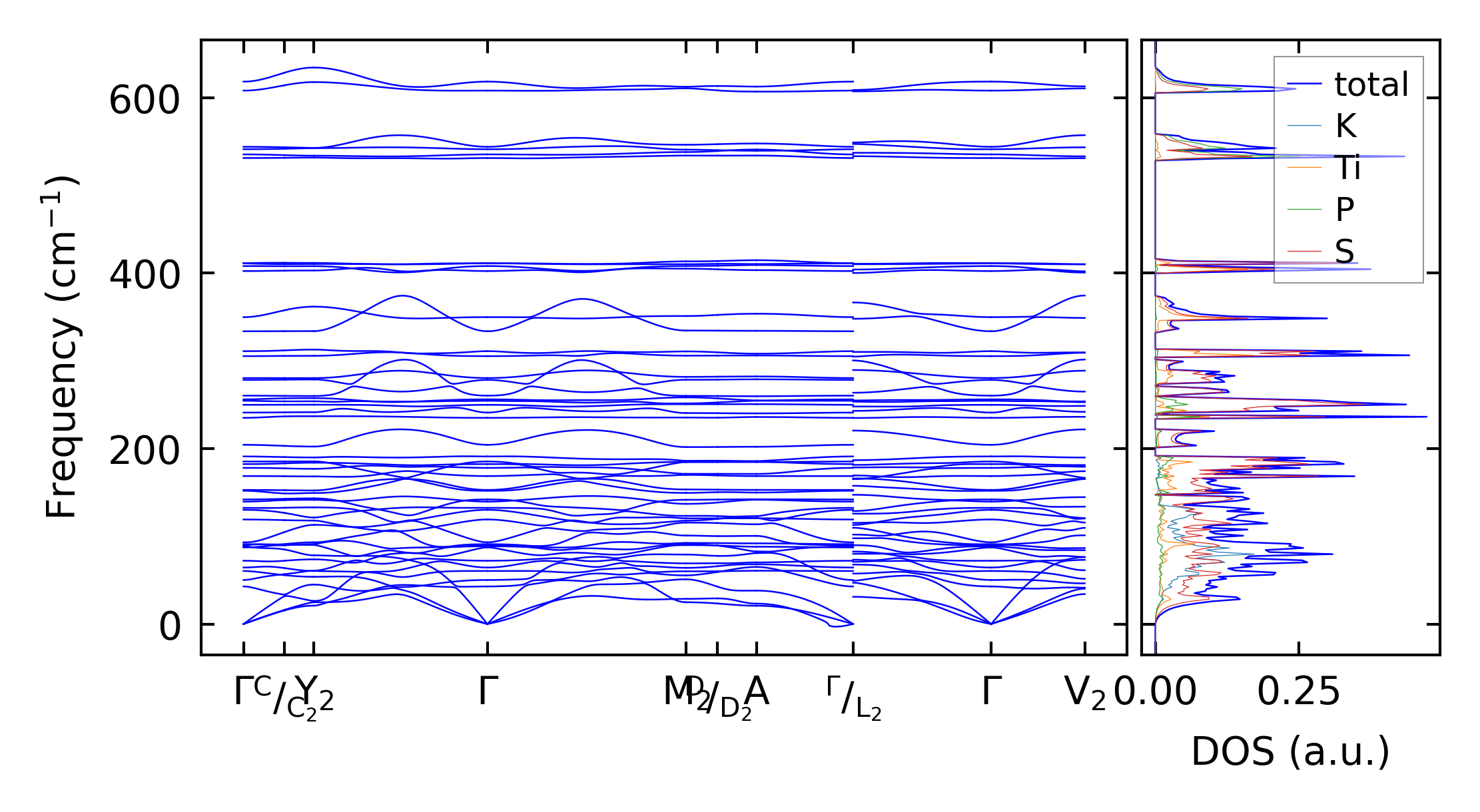
../../_images/fig_bandos10696.png

(b) Phonon dispersion and DOS

../../_images/fig_thermo7612.png

(c) Thermodynamic properties

Force constants

../../_images/fig_fc27375.png

(a) Force constants w.r.t atomic distance

Summary

../../_images/fig_times13462.png

(a) Computation time