mp-560616/KCO2/anharm

Harmonic properties

../../_images/fig_bandos_pr7531.png

(a) Phonon dispersion with participation ratio and DOS

../../_images/fig_thermo7531.png

(b) Thermodynamic properties

Grüneisen parameters

../../_images/fig_gru_all3160.png

(a) Grüneisen parameters

../../_images/fig_gruneisen3160.png

(b) Phonon dispersion with Grüneisen parameters

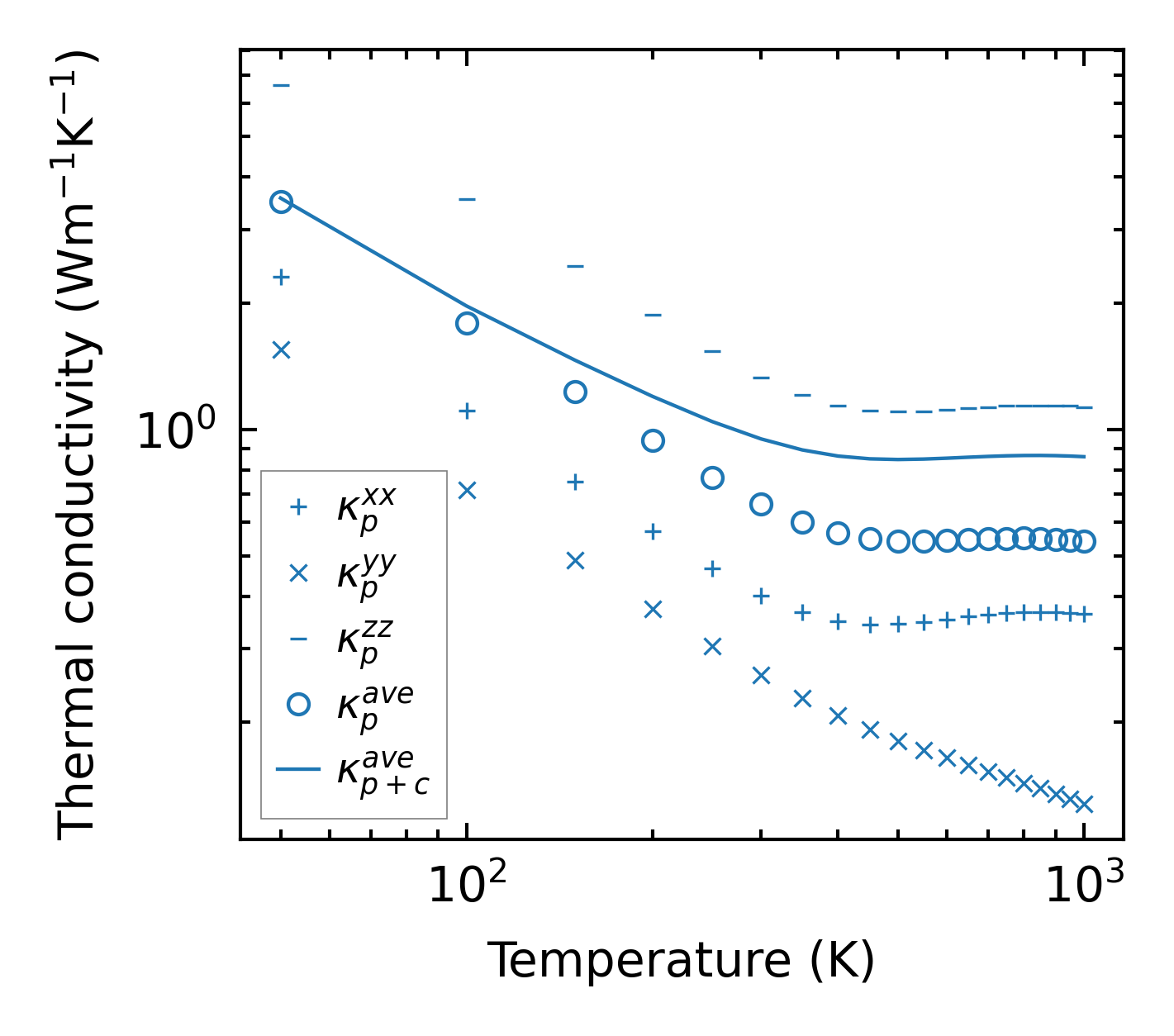
Thermal conductivity

3-phonon (LASSO) — q-mesh: 11x6x21, supercell: 2x1x4

../../_images/fig_kappa5984.png

(a) Temperature-dependent lattice thermal conductivity

../../_images/fig_kappa_vs_grain_size3201.png

(b) Peierls lattice thermal conductivity w.r.t grain size

Phonon lifetime and scattering rates

../../_images/fig_lifetime3132.png

(a) Phonon lifetime due to phonon-phonon scattering

../../_images/fig_scat_rates3131.png

(b) Phonon scattering rates

Cumulative and spectral thermal conductivity

../../_images/fig_cumu_frequency3132.png

(a) Spectral and cumulative thermal conductivity w.r.t frequency

../../_images/fig_cumu_mfp3131.png

(b) Spectral and cumulative thermal conductivity w.r.t MFP

Force constants

../../_images/fig_fc27295.png

(a) Force constants w.r.t atomic distance

Summary

../../_images/fig_kappa5985.png

(a) Temperature-dependent lattice thermal conductivity

../../_images/fig_times13337.png

(b) Computation time