mp-560874/BaPb2C2O6F2/anharm

Harmonic properties

../../_images/fig_bandos_pr7595.png

(a) Phonon dispersion with participation ratio and DOS

../../_images/fig_thermo7595.png

(b) Thermodynamic properties

Grüneisen parameters

../../_images/fig_gru_all3185.png

(a) Grüneisen parameters

../../_images/fig_gruneisen3185.png

(b) Phonon dispersion with Grüneisen parameters

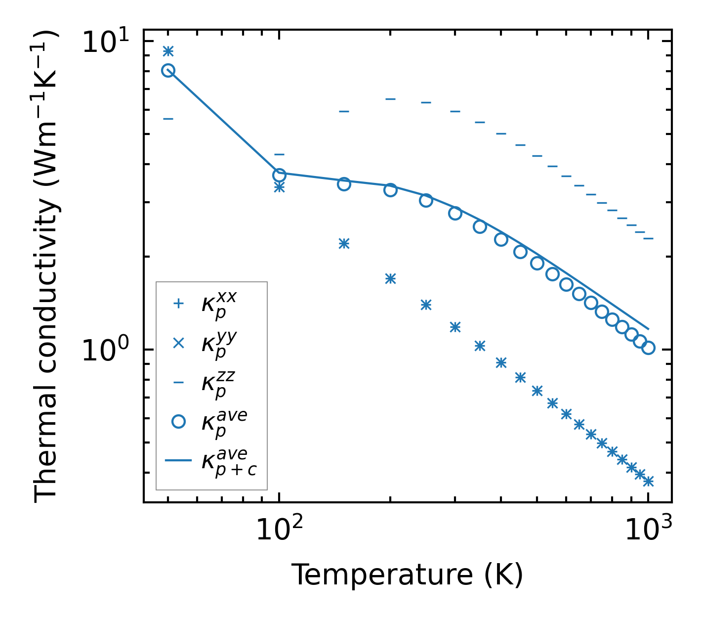
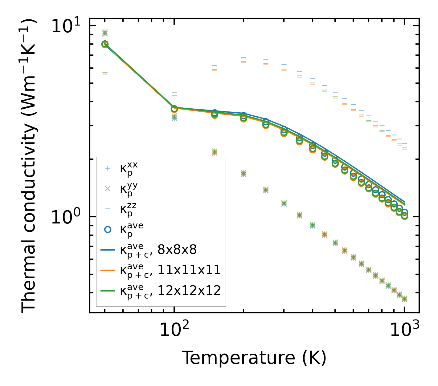
Thermal conductivity

3-phonon (LASSO) — q-mesh: 12x12x12, supercell: 1x1x1

../../_images/fig_kappa6030.png

(a) Temperature-dependent lattice thermal conductivity

../../_images/fig_kappa_vs_grain_size3226.png

(b) Peierls lattice thermal conductivity w.r.t grain size

Phonon lifetime and scattering rates

../../_images/fig_lifetime3157.png

(a) Phonon lifetime due to phonon-phonon scattering

../../_images/fig_scat_rates3156.png

(b) Phonon scattering rates

Cumulative and spectral thermal conductivity

../../_images/fig_cumu_frequency3157.png

(a) Spectral and cumulative thermal conductivity w.r.t frequency

../../_images/fig_cumu_mfp3156.png

(b) Spectral and cumulative thermal conductivity w.r.t MFP

Force constants

../../_images/fig_fc27358.png

(a) Force constants w.r.t atomic distance

Summary

../../_images/fig_kappa6031.png

(a) Temperature-dependent lattice thermal conductivity

../../_images/fig_times13432.png

(b) Computation time