mp-560673-2/NaPr2S2O8F3/anharm

Equation of state

../../_images/fig_bm3949.png

(a) Equation of state

Harmonic properties

../../_images/fig_bandos_pr7551.png

(a) Phonon dispersion with participation ratio and DOS

../../_images/fig_bandos10614.png

(b) Phonon dispersion and DOS

../../_images/fig_thermo7551.png

(c) Thermodynamic properties

Grüneisen parameters

../../_images/fig_gru_all3168.png

(a) Grüneisen parameters

../../_images/fig_gruneisen3168.png

(b) Phonon dispersion with Grüneisen parameters

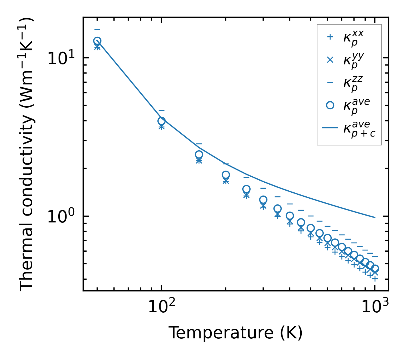
Thermal conductivity

3-phonon (LASSO), supercell 1x2x2 — q-mesh: 9x9x10, supercell: 1x2x2

../../_images/fig_kappa5999.png

(a) Temperature-dependent lattice thermal conductivity

../../_images/fig_kappa_vs_grain_size3209.png

(b) Peierls lattice thermal conductivity w.r.t grain size

Phonon lifetime and scattering rates

../../_images/fig_lifetime3140.png

(a) Phonon lifetime due to phonon-phonon scattering

../../_images/fig_scat_rates3139.png

(b) Phonon scattering rates

Cumulative and spectral thermal conductivity

../../_images/fig_cumu_frequency3140.png

(a) Spectral and cumulative thermal conductivity w.r.t frequency

../../_images/fig_cumu_mfp3139.png

(b) Spectral and cumulative thermal conductivity w.r.t MFP

Force constants

../../_images/fig_fc27315.png

(a) Force constants w.r.t atomic distance

Summary

../../_images/fig_times13362.png

(a) Computation time