mp-560129-2/Na3La2B3O9/harm

Equation of state

../../_images/fig_bm4016.png

(a) Equation of state

Harmonic properties

../../_images/fig_bandos_pr7761.png

(a) Phonon dispersion with participation ratio and DOS

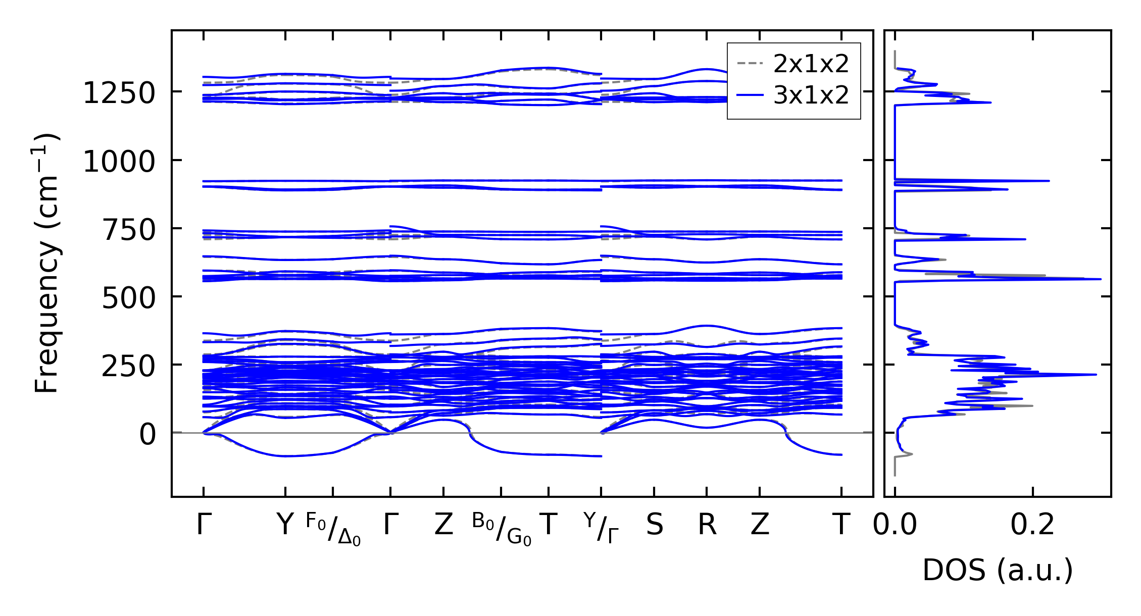
../../_images/fig_bandos10896.png

(b) Phonon dispersion and DOS

../../_images/fig_thermo7761.png

(c) Thermodynamic properties

Force constants

../../_images/fig_fc27524.png

(a) Force constants w.r.t atomic distance

Summary

../../_images/fig_times13697.png

(a) Computation time