mp-560605/LiLa4AuO8/anharm

Harmonic properties

../../_images/fig_bandos_pr7529.png

(a) Phonon dispersion with participation ratio and DOS

../../_images/fig_thermo7529.png

(b) Thermodynamic properties

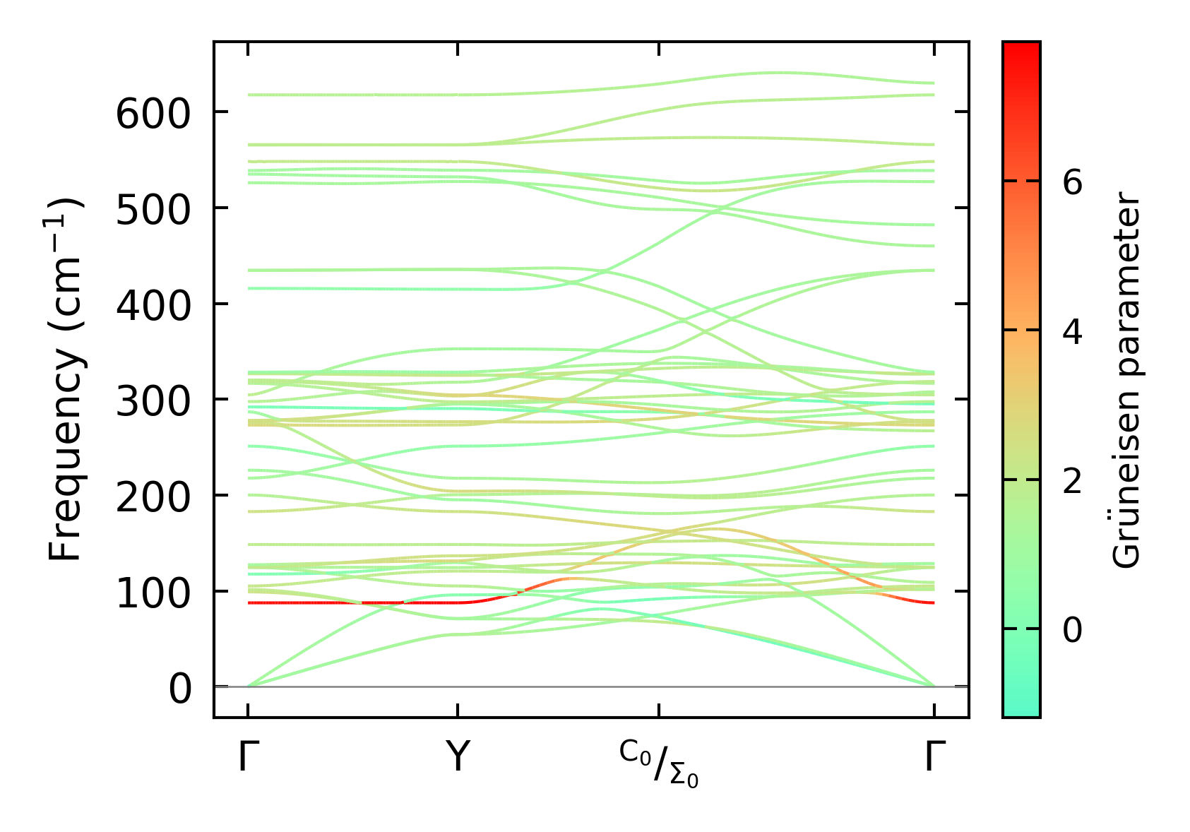
Grüneisen parameters

../../_images/fig_gru_all3158.png

(a) Grüneisen parameters

../../_images/fig_gruneisen3158.png

(b) Phonon dispersion with Grüneisen parameters

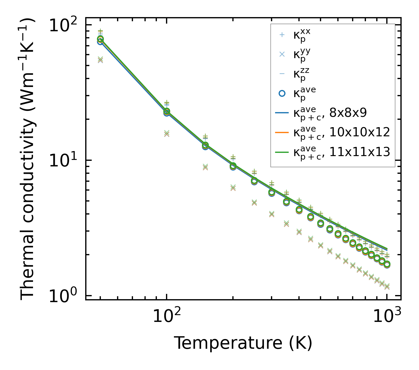
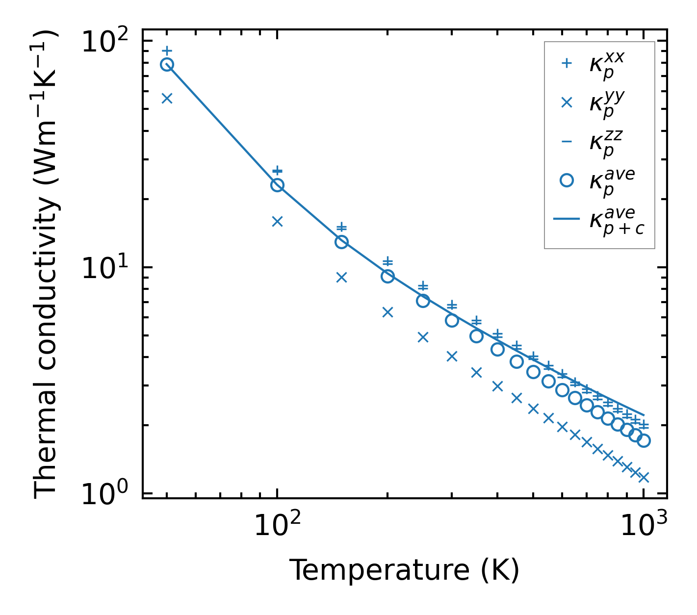
Thermal conductivity

3-phonon (LASSO) — q-mesh: 11x11x13, supercell: 2x1x2

../../_images/fig_kappa5980.png

(a) Temperature-dependent lattice thermal conductivity

../../_images/fig_kappa_vs_grain_size3199.png

(b) Peierls lattice thermal conductivity w.r.t grain size

Phonon lifetime and scattering rates

../../_images/fig_lifetime3130.png

(a) Phonon lifetime due to phonon-phonon scattering

../../_images/fig_scat_rates3129.png

(b) Phonon scattering rates

Cumulative and spectral thermal conductivity

../../_images/fig_cumu_frequency3130.png

(a) Spectral and cumulative thermal conductivity w.r.t frequency

../../_images/fig_cumu_mfp3129.png

(b) Spectral and cumulative thermal conductivity w.r.t MFP

Force constants

../../_images/fig_fc27293.png

(a) Force constants w.r.t atomic distance

Summary

../../_images/fig_kappa5981.png

(a) Temperature-dependent lattice thermal conductivity

../../_images/fig_times13332.png

(b) Computation time